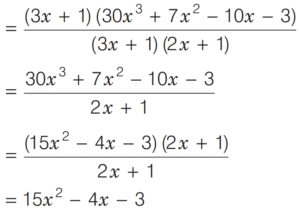
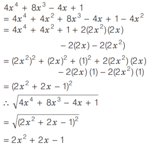
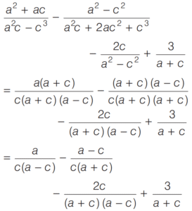
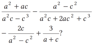
SOLVED PAPER 2020 (CDS) (II) (Elementary Mathematics)Total Questions: 10031. What is the HCF of the polynomials x⁶ - 3x⁴ + 3x² - 1 and x³ + 3x² + 3x + 1 ?(a) (x + 1)(b) (x + 1)²(c) x² + 1(d) (x + 1)³Correct Answer: (d) (x + 1)³Solution:32. The HCF and the LCM of two polynomials are 3x + 1 and hat 30x³ + 7x² - 10x - 3 respectively. If one polynomial is 6x² + 5x + 1 then what is the other polynomial ?(a) 15x² + 4x + 3(b) 15x² + 4x - 3(c) 15x² - 4x + 3(d) 15x² - 4x - 3Correct Answer: (d) 15x² - 4x - 3Solution:33. If (p + 2) (2q - 1) = 2pq - 10 and (p - 2) (2q - 1) = 2pq - 10 then what is pq equal to?(a) - 10(b) - 5(c) 5(d) 10Correct Answer: (c) 5Solution:Given,34. What is the value of(a)(b)(c)(d)Correct Answer: (d)Solution:We have, 35. What is the square root of 4x⁴ + 8x³ - 4x + 1 ?(a) 2x² - 2x - 1(b) 2x² - x - 1(c) 2x² + 2x + 1(d) 2x² + 2x - 1Correct Answer: (d) 2x² + 2x - 1Solution:We have,36. The sum of the digits of a two digit number is 13 and the difference between the number and that formed by reversing the digits is 27. What is the product of the digits of the number?(a) 35(b) 40(c) 45(d) 54Correct Answer: (b) 40Solution:37. Solve the following equation(a) x + y + z = 0(b) x - y - z = 0(c) x + y - z = 0(d) x + 2y + 3z = 0Correct Answer: (b) x - y - z = 0Solution:38. X, Y and Z travel from the same place with uniform speeds 4km / h 5 km/h and 6 km/h respectively. Y starts 2 h after X. How long after Y must Z start in order that they overtake X at the same instant?(a)(b)(c)(d)Correct Answer: (b)Solution:Distance travelled by X in t hours = 4t39. 1 - x - xⁿ + xⁿ⁺¹ where n is a natural number, is divisible by(a) (1 + x)²(b) (1 - x)²(c) 1 - 2x - x²(d) 1 + 2x - x²Correct Answer: (b) (1 - x)²Solution:Given,40. A person sold an article for ₹75 which cost him ₹ x. He finds that he realised x% profit on his outlay. What is x equal to ?(a) 20%(b) 25%(c) 50%(d) 100%Correct Answer: (c) 50%Solution:Given cost price of articles = ₹ xSubmit Quiz« Previous12345678910Next »