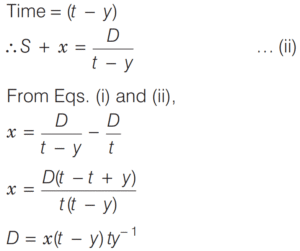
SOLVED PAPER 2020 (CDS) (II) (Elementary Mathematics)Total Questions: 10041. A car did a journey in t hours. Had the average speed been x km/h greater, the journey would have taken y hours less. How long was the journey?(a) x(t - y) t y(b) x(t - y) t y⁻¹(c) x(t - y) t y⁻²(d) x(t + y) t yCorrect Answer: (b) x(t - y) t y⁻¹Solution:42. When a ball is allowed to fall, the time it takes to fall any distance varies as the square root of the distance and it takes 4 s to fall 78.40 m. How long would it take to fall 122.50 m?(a) 5 s(b) 5.5 s(c) 6 s(d) 6.5 sCorrect Answer: (a) 5 sSolution:Given, t = k√d,43. Solve the following equation(a) 0 < x < 1(b) 1 < x < 2(c) 2 < x < 3(d) 3 < x < 4Correct Answer: (c) 2 < x < 3Solution: 44. The Euclidean algorithm is used to calculate the(a) square root of an integer(b) cube root of an integer(c) square of an integer(d) HCF of two integersCorrect Answer: (d) HCF of two integersSolution:Euclidean algorithm is used to calculate the HCF of two integers.45. If radius of a sphere is rational, then which of the following is/are correct ?1. Its surface area is rational. 2. Its volume is rational.Select the correct answer using the code given below.(a) only 1(b) only 2(c) Both 1 and 2(d) Neither 1 nor 2Correct Answer: (d) Neither 1 nor 2Solution:46. Solve the following equation(a) 0(b) 1(c) mn(d) m² n²Correct Answer: (b) 1Solution: 47. If cos θ + sec θ = k, then what is the value of sin²θ - tan²θ ?(a) 4 - k(b) 4 - k²(c) k² - 4(d) k² + 2Correct Answer: (b) 4 - k²Solution:48. ABC is a triangle inscribed in a semicircle of diameter AB. What is cos(A + B) + sin(A + B) equal to?(a) 0(b) 1/4(c) 1/2(d) 1Correct Answer: (d) 1Solution:We have,49. Consider the following statements:(a) only 1(b) only 2(c) Both 1 and 2(d) Neither 1 nor 2Correct Answer: (d) Neither 1 nor 2Solution:We have,50. What is the magnitude (in radian) of the interior angle of a regular pentagon?(a)(b)(c)(d)Correct Answer: (c)Solution:Submit Quiz« Previous12345678910Next »