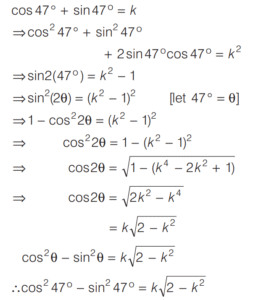
SOLVED PAPER 2020 (CDS) (II) (Elementary Mathematics)Total Questions: 10051. The difference between two angles is 15° and the sum of the angles in radian is 5π/12. The bigger angle is k times the smaller angle. What is k equal to?(a) 4/3(b) 3/2(c) 6/5(d) 7/6Correct Answer: (b) 3/2Solution:Let the angle be x and kx,52. Consider the following statements :(a) only 1(b) only 2(c) Both 1 and 2(d) Neither 1 nor 2Correct Answer: (b) only 2Solution:We have,53. A road curve is to be laid out on a circle. What radius should be used if the track is to change direction by 42° in distance of 44 m?(Assume π = ²²⁄₇ )(a) 60 m(b) 66 m(c) 75 m(d) 80 mCorrect Answer: (a) 60 mSolution:Given, θ = 42º54. What is the maximum value of 3sin θ - 4 ?(a) -4(b) -1(c) 0(d) 1Correct Answer: (b) -1Solution:55. If sin θ + cos θ = √2, then what is sin⁶θ + cos⁶θ + 6 sin²θ cos²θ equal to ?(a)(b)(c)(d)Correct Answer: (d)Solution:Given,56. What is the least value of 9sin²θ +16 cos²θ ?(a) 0(b) 9(c) 16(d) 25Correct Answer: (b) 9Solution:We have,57. If cos 47° + sin 47° = k then what is the value of cos² 47° - sin² 47° ?(a)(b)(c)(d)Correct Answer: (a)Solution:Given,58. If cosec θ - sin θ = p³ and sec θ - cos θ = q³, then what is the value of tan θ ?(a)(b)(c)(d)Correct Answer: (b)Solution:We have,59. If 0 ≤ α β ≤ 90° such that cos(α - β) = 1, then what is sin α - sin β + cos α - cos β equal to ?(a) -1(b) 0(c) 1(d) 2Correct Answer: (b) 0Solution:60. Consider the following statements.1. The value of cos 61° + sin 29° cannot exceed 1. 2. The value of tan 23° - cot 67° is less than 0.Which of the above statements is/are correct?(a) only 1(b) only 2(c) Both 1 and 2(d) Neither 1 nor 2Correct Answer: (a) only 1Solution:We have,Submit Quiz« Previous12345678910Next »