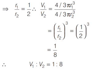
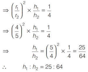
SOLVED PAPER 2020 (CDS) (II) (Elementary Mathematics)Total Questions: 10071. In a triangle, values of all the angles are integers (in degree measure). Which one of the following cannot be the proportion of their measures?(a) 1 : 2 : 3(b) 3 : 4 : 5(c) 5 : 6 : 7(d) 6 : 7 : 8Correct Answer: (d) 6 : 7 : 8Solution:In triangle, angle of triangle are integers.72. The length of a rectangle is increased by 10% and breadth is decreased by 10%. Then, the area of the new rectangle is(a) neither increased nor decreased(b) increased by 1%(c) decreased by 1%(d) decreased by 10%Correct Answer: (c) decreased by 1%Solution:Let the length of rectangle = 𝓍 m73. The surface areas of two spheres are in the ratio 1: 4. What is the ratio of their volumes?(a) 1 : 16(b) 1 : 12(c) 1 : 10(d) 1 : 8Correct Answer: (d) 1 : 8Solution: 74. The length, breadth and height of a brick are 20 cm, 15 cm and 10 cm respectively. The number of bricks required to construct a wall with dimensions 45 m length, 0.15 m breadth and 3 m height is(a) 12450(b) 11250(c) 6750(d) None of theseCorrect Answer: (c) 6750Solution:Given, l = 20 cm, b = 15 cm, h = 10 cm75. If the sum of all interior angles of a regular polygon is twice the sum of all its exterior angles, then the polygon is(a) Hexagon(b) Octagon(c) Nonagon(d) DecagonCorrect Answer: (a) HexagonSolution:Interior angle of regular polygon76. A bicycle wheel makes 5000 revolutions in moving 11 km. What is the radius of the wheel? (Assume π = ²²⁄₇)(a) 17.5 cm(b) 35 cm(c) 70 cm(d) 140 cmCorrect Answer: (b) 35 cmSolution:We have,77. The volumes of two cones are in the ratio 1 : 4 and their diameters are in the ratio 4 : 5. What is the ratio of their heights?(a) 25 : 64(b) 16 : 25(c) 9 : 16(d) 5 : 9Correct Answer: (a) 25 : 64Solution: 78. In a triangle ABC, if 2 ∠A = 3 ∠B = 6 ∠C, then what is ∠A + ∠C equal to ?(a) 90°(b) 120°(c) 135°(d) 150°Correct Answer: (b) 120°Solution:79. If the perimeter of a circle and a square are equal, then what is the ratio of the area of the circle to that of the square ?(a) 1 : π(b) 2 : π(c) 3 : π(d) 4 : πCorrect Answer: (d) 4 : πSolution:Given,80. The lengths of the sides of a right - angled triangle are consecutive even integers (in cm). What is the product of these integers?(a) 60(b) 120(c) 360(d) 480Correct Answer: (d) 480Solution:Submit Quiz« Previous12345678910Next »