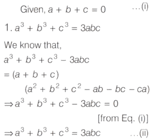
SOLVED PAPER 2021 (CDS) (I) (Elementary Mathematics)Total Questions: 1001. If the number 413283P759387 is divisible by 13, then what is the value of P ?(a) 3(b) 6(c) 7(d) 8Correct Answer: (d) 8Solution: 2. What is the remainder when 2¹⁰⁰⁰⁰⁰⁰ is divided by 7?(a) 1(b) 2(c) 4(d) 6Correct Answer: (b) 2Solution: 3. Solve it ?(a) Zero(b) One(c) Two(d) ThreeCorrect Answer: (a) ZeroSolution:Given set,4. Consider the pairs of prime numbers (m, n)between 50 and 100 such that m - n = 6. How many such pairs are there?(a) 2(b) 3(c) 4(d) 5Correct Answer: (d) 5Solution:Given,5. How many terms are there in the following product?(a) 15(b) 30(c) 45(d) 60Correct Answer: (d) 60Solution:Given product,6. What is the remainder when 27²⁷ - 15²⁷ is divided by 6 ?(a) 0(b) 1(c) 3(d) 4Correct Answer: (a) 0Solution: 7. If a + b + c = 0, then which of the following are correct?1. a³ + b³ + c³ = 3abc 2. a² + b² + c² = 2(ab + bc + ca) 3. a³ + b³ + c³ = 3ab(a + b)Select the correct answer using the code given below.(a) 1 and 2 only(b) 2 and 3 only(c) 1 and 3 only(d) 1, 2 and 3Correct Answer: (d) 1, 2 and 3Solution: 8. Solve it ?(a) 0(b) 1(c) 2(d) 3Correct Answer: (b) 1Solution:Given, 9. What is the unit digit in the expansion of 67³² ?(a) 1(b) 3(c) 7(d) 9Correct Answer: (a) 1Solution:Given term is 67³².10. Solve it ?(a)(b)(c)(d)Correct Answer: (c)Solution: Submit Quiz12345678910Next »