SOLVED PAPER 2021 (CDS) (I) (Elementary Mathematics)

Total Questions: 100

11. Solve it ?

Correct Answer: (b) (x − 2)
Solution:Given expression,


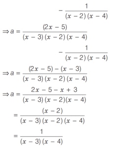
12. Solve it ?

Correct Answer: (a)
Solution:Let a should be added to,



13. Solve it ?

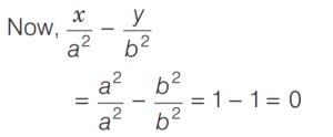
Correct Answer: (c) 0
Solution:The given equations are

14. If (x - k ) is the HCF of x²+ ax + b and x²+ cx + d, then what is the value of k ?

Correct Answer: (b)
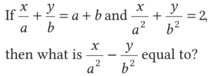
Solution:Given, (x - k) is HCF of

15. Consider the following statements.

1. If x is directly proportional to z and y is directly proportional to z, then (x² - y²) is directly proportional to z².
2. If x is inversely proportional to z and y is inversely proportional to z, then (xy) is inversely proportional to z².

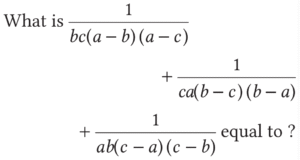
Which of the above statement(s) is/are correct?

Correct Answer: (c) Both 1 and 2
Solution:Given, statements :


16. What is the HCF of x³ - 19x + 30 and x² - 5x + 6 ?

Correct Answer: (d) (x - 3) (x - 2)
Solution:Given function,



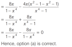
17. Solve it ?

Correct Answer: (a) 0
Solution:Given expression,


18. Solve it ?

Correct Answer: (c) 2
Solution:Given,

19. If x(x - 1) (x - 2) (x-3) + 1 = k², then which one of the following is a possible expression for k ?

Correct Answer: (a) x² - 3x + 1
Solution:Given,

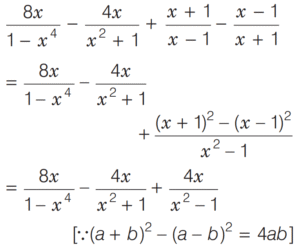
20. Solve it ?

Correct Answer: (d) 0
Solution:Given expression,