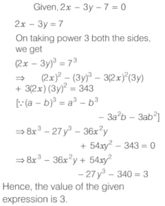
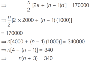
SOLVED PAPER 2021 (CDS) (II) (Elementary Mathematics)Total Questions: 10091. If the system of equations 7x + ky = 27 and kx + 7y = 19 have unique solution, then which one of the following is correct(a) k ≠ 7(b) k ≠ 13(c) k = 7(d) = 13Correct Answer: (a) k ≠ 7Solution:92. A sum of money compounded annually doubles itself in 5 year. In how many years will it become four times of itself?(a) 10 years(b) 12 years(c) 15 years(d) 20 yearsCorrect Answer: (a) 10 yearsSolution:93. Between 3 and 4 O'clock, both hour hand and minute hand will coincide past 3 O'clock between(a) 15-16 min(b) 16-17 min(c) 17-18 min(d) 18-19 minCorrect Answer: (b) 16-17 minSolution:94. Sheela can stitch a suit in 2 days, while Meena can stitch a suit in 1½ days. How many days will both take in stitching 30 suits?(a) 32 days(b) 33 days(c) 35 days(d) 40 daysCorrect Answer: (c) 35 daysSolution: 95. If 2x - 3y - 7 = 0 then what is the value of 8x³ - 36x²y + 54xy² - 27y³ - 340 ?(a) -1(b) 0(c) 1(d) 3Correct Answer: (d) 3Solution:96. If p varies directly as q and inversely as square of r, what is the percentage increase in p due to an increase in q by 20% and a decrease in r by 20% ?(a) 87.5%(b) 85%(c) 82.5%(d) 80%Correct Answer: (a) 87.5%Solution:97. A person agrees to work for 30 days, on a condition that for every day's work he should receive ₹500, and that for every day's absence from work he should forfeit ₹100. At the end of the time he received ₹11,400. How many days did he work?(a) 20(b) 21(c) 24(d) 25Correct Answer: (c) 24Solution: 98. A person bought a chair and a table for ₹750. He sold the chair at a gain of 5% and the table at a gain of 20%. he gained 16% on the whole. What is original cost of table?(a) ₹400(b) ₹450(c) ₹550(d) ₹600Correct Answer: (c) ₹550Solution: 99. A person rode one third of a journey at 60 km/hr, one third at 50 km/hr and the rest at 40 km/hr. Had the person ridden half of the journey at 60 km/hr and the rest at 40 km/hr, he would have taken 4 minutes longer to complete the journey. What distance did the person ride?(a) 180 km(b) 210 km(c) 240 km(d) 300 kmCorrect Answer: (c) 240 kmSolution: 100. A person saves ₹100 more than he did the previous year. If he saves ₹2000 in the first year, in how many years will he save ₹170000.(a) 16 year(b) 17 year(c) 18 year(d) 19 yearCorrect Answer: (b) 17 yearSolution: Submit Quiz« Previous12345678910