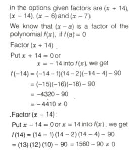
SOLVED PAPER 2021 (CDS) (II) (Elementary Mathematics)Total Questions: 10011. A cubical block of side 14 cm is surmounted by a hemisphere of radius 7 cm. What is the total surface area of the solid thus formed? (Take π = ²²⁄₇)(a) 1330 cm²(b) 1306 cm²(c) 1296 cm²(d) 1256 cm²Correct Answer: (a) 1330 cm²Solution: 12. How many silver coins, 3.5 cm in diameter and of thickness 4 mm, must be melted to form a cuboid of dimensions 21cm × 11cm × 7cm ?(a) 420(b) 210(c) 200(d) 168Correct Answer: (a) 420Solution: 13. A tub is in the shape of a frustum of a cone. The radii of two circular ends of the tub are 105 cm and 42 cm. If the vertical height of the tub is 16 cm, what is its slant height(a) 63.5 cm(b) 65 cm(c) 73.5 cm(d) 75 cmCorrect Answer: (b) 65 cmSolution:14. ABC is a triangle right angled at B with AB = 8 cm and BC = 6cm It is made to revolve about its side BC. What is the approximate total surface area of the cone so formed? (Take π = ²²⁄₇)(a) 452 cm²(b) 440 cm²(c) 432 cm²(d) 420 cm²Correct Answer: (a) 452 cm²Solution: 15. A solid rod consists of a cylinder of height 20 cm and radius 7 cm. It is surmounted by another solid cylinder of height 10 cm and radius 3.5 cm. If 1 cubic metre of rod weights 10000 kg, what is the mass of the rod ? (Take π = ²²⁄₇)(a) 34.65 kg(b) 31.56 kg(c) 3.465 kg(d) 3.156 kgCorrect Answer: (a) 34.65 kgSolution: 16. What are distinct prime factors of the number 26381?(a) 29, 17, 37(b) 31, 17, 47(c) 19, 37, 13(d) 23, 31, 37Correct Answer: (d) 23, 31, 37Solution:17. Which one of the following is a factor of the polynomial (x - 1) (x - 2) (x - 4) - 90 ?(a) x + 14(b) x - 14(c) x - 6(d) x - 7Correct Answer: (d) x - 7Solution: 18. What is the square root of 23 - 4√15 ?(a) √6 - 3√2(b) 7 - 3√5(c) √3 - 2√5(d) √5 - 4√3Correct Answer: (c) √3 - 2√5Solution:19. What is the remainder after dividing the number 37¹⁰⁰⁰ by 9?(a) 1(b) 3(c) 7(d) 9Correct Answer: (a) 1Solution:20. The sum of LCM and HCF of the numbers is 536 and the difference between LCM and HCF is 296. If one of the numbers is 104, then what is the other number?(a) 420(b) 480(c) 484(d) 506Correct Answer: (b) 480Solution: Submit Quiz« Previous12345678910Next »