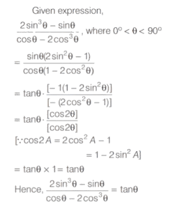
SOLVED PAPER 2021 (CDS) (II) (Elementary Mathematics)Total Questions: 10041. If x = m sec A + n tan A and y = m tan A +n sec A, then what is x² - y² equal to ?(a) m² - n²(b) m² + n²(c) m² + n ² - mn(d) m² - n² + mnCorrect Answer: (a) m² - n²Solution:Given, 42. If for some θ lying between 0° and 90°, tan θ = 1, then what is the value of sin²θ - 2sin θ cos θ ?(a) -1(b) 0(c) ½(d) - (½)Correct Answer: (d) - (½)Solution:43. Solve it ?(a) sinθ(b) cosθ(c) tanθ(d) cotθCorrect Answer: (c) tanθSolution:44. Solve it ?(a)(b)(c)(d)Correct Answer: (a)Solution:Given expression, 45. In a triangle ABC, right angle at B, AB + BC = 10 (1 + √3) cm length of the hypotenuse is 20 cm. What is the value of tan A + tan C ?(a)(b)(c)(d)Correct Answer: (a)Solution:In a right angled triangle ABC, it is given that, 46. (Questions 46-48) Consider the following for the next three questions that follow. A solid consisting of a right circular cone of radius x and height 2x standing on a hemisphere of radius x (Take π = ²²⁄₇)The volume of the solid is equal to that of a(a) Sphere of radius x(b) sphere of diameter x(c) cylinder of radius x(d) cylinder of radius √2xCorrect Answer: (a) Sphere of radius xSolution:Given dimensions : 47. What is the approximate total surface area of the solid(a) 11.2x²(b) 12.5x²(c) 13.3x²(d) 15.1x²Correct Answer: (c) 13.3x²Solution:We have, 48. The solid is placed upright in a right circular cylinder full of water such that it touches the bottom. If the internal radius of cylinder is x and height is 3x, what is the approximate volume of water left in the cylinder?(a) 5.04x²(b) 5.09x²(c) 5.14x²(d) 5.24x²Correct Answer: (d) 5.24x²Solution:We are given the dimensions as 49. (Questions 49 and 50) Consider the following for next two question that follow.The chord of a circle of radius 2.1 cm is inclined the angle of 120° on the centre of circle. [Take π = (²²⁄₇) and √3 = 1.732]What is the approximate area of minor segment of the circle ?(a) 2.71 cm²(b) 2.42 cm²(c) 1.91 cm²(d) 1.71 cm²Correct Answer: (a) 2.71 cm²Solution:Given, Radius (r) of the circle 50. What is the approximate area of major segment of the circle?(a) 10.05 cm²(b) 10.15 cm²(c) 11.05 cm²(d) 11.15 cm²Correct Answer: (d) 11.15 cm²Solution:The approximate area of major segment of circle = Area of circle − area of minor segment of circleSubmit Quiz« Previous12345678910Next »