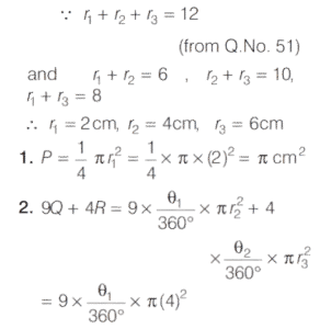
SOLVED PAPER 2021 (CDS) (II) (Elementary Mathematics)Total Questions: 10051. (Questions 51-53) Consider the following for the next three questions that follow.ABC is a triangle with sides AB = 6 cm, BC = 10 cm and CA = 8 cm. With vertices A B, and C as centres, three circles are drawn each touching the other two externally.What is the sum of the radii of the circles?(a) 10.4 cm(b) 11.2 cm(c) 12 cm(d) 13 cmCorrect Answer: (c) 12 cmSolution:In ∆ABC it is given that52. What is the length of the altitude of the triangle drawn from vertex A on BC ?(a) 2.4 cm(b) 3 cm(c) 4 cm(d) 4.8 cmCorrect Answer: (d) 4.8 cmSolution:In ∆ABC it is given that 53. If P, Q and R are the areas of sectors at A B, and C within the triangle respectively, then which of the following is/are correct1. P = π cm² 2. 9Q + 4R + = 36π cm²Select the correct answer using the code given below:(a) 1 only(b) 2 only(c) Both 1 and 2(d) Neither 1 nor 2Correct Answer: (c) Both 1 and 2Solution:54. (Questions 54 and 55) Consider the following next two questions that follow.ABC is triangle in which AB = AC and D is any point on BC.Which one of the following is correct?(a) AB²- AD² = AD × BD(b) AC²- AD² = BD × CD(c) AB²- AD² = 2 AD × BD(d) AC²- AD² = 2 BD × CDCorrect Answer: (b) AC²- AD² = BD × CDSolution:55. If AD = 5cm BD = 4cm and CD = 6 cm, then what is AB equal to ?(a) 7 cm(b) 6.5 cm(c) 6 cm(d) 5.5 cmCorrect Answer: (a) 7 cmSolution:56. (Questions 56-58) Consider the following for next three questions that follow.ABC is a triangle with AB = 1.6cm, BC = 6.3cm and CA = 6.5cm . Let P and Q be the mid-points of AB and BC respectively.What is AB² + 4 BQ² equal to ?(a) 41.25 cm²(b) 42.25 cm²(c) 43.75 cm²(d) 44.25 cm²Correct Answer: (b) 42.25 cm²Solution: 57. What is AQ² + CP² equal to?(a) AC²(b) 12 AC²(c) 1.25 AC²(d) 1.5 AC²Correct Answer: (c) 1.25 AC²Solution:58. What is 4(CP² - AQ²) equal to?(a) 101.39 cm²(b) 111.39 cm²(c) 121.39 cm²(d) 131.39 cm²Correct Answer: (b) 111.39 cm²Solution:59. (Questions 59 and 60) Consider the following for the next two questions that follows.AB is a diameter of a circle with centre O. Radius OP is perpendicular to AB. Let Q be any point on are PB.What is ∠BAP equal to ?(a) 30°(b) 40°(c) 45°(d) 60°Correct Answer: (c) 45°Solution:60. What is ∠AQP equal to?(a) 30°(b) 40°(c) 45°(d) 60°Correct Answer: (c) 45°Solution:Submit Quiz« Previous12345678910Next »