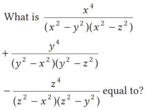
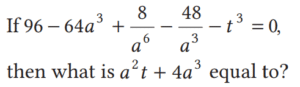
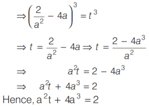
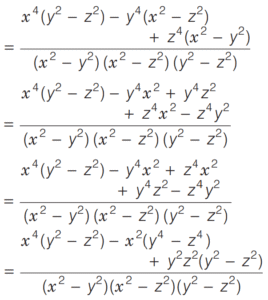
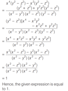
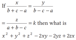
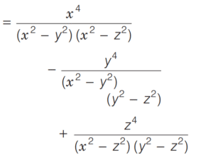
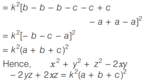
SOLVED PAPER 2021 (CDS) (II) (Elementary Mathematics)Total Questions: 10061. 5 pencils, 6 notebooks and 7 erasers cost ₹250; whereas 6 pencils, 4 notebooks and 2 erasers cost ₹180. What is the cost of 2 notebooks and 4 erasers ?(a) ₹90(b) ₹75(c) ₹60(d) ₹40Correct Answer: (b) ₹75Solution:62. How many zeros are there in the product 1⁵⁰ × 2⁴⁹ × 3⁴⁸ × ..... x 50¹ ?(a) 262(b) 261(c) 246(d) 235Correct Answer: (a) 262Solution:63. If p and q (p > q) are the roots of the equation x² - 60x + 899 = 0 then which one of the following is correct?(a) p - q - 1 = 0(b) p - 2q + 27 = 0(c) 2p - q - 30 = 0(d) 3p - 2q - 43 = 0Correct Answer: (b) p - 2q + 27 = 0Solution: 64. If the roots of the equation x² - 4x - log₁₀ N = 0 are real, then what is the minimum value of N ?(a) 0.1(b) 0.01(c) 0.001(d) 0.0001Correct Answer: (d) 0.0001Solution:65. Solve it ?(a) 1(b) log₁₀ 2(c) log₁₀ 5(d) 2 log₁₀ 5Correct Answer: (d) 2 log₁₀ 5Solution:66. Solve it ?(a) 0(b) 1(c) 2(d) 3Correct Answer: (c) 2Solution:67. Solve it ?(a)(b)(c)(d)Correct Answer: (c)Solution:68. Solve it ?(a) -1(b) 0(c) 1(d) x² + y² + z²Correct Answer: (c) 1Solution:69. If (2ab - b²) : (6a² - ab) = 1 : 6 then what is (a + b) : (a - b) equal to ?(a) 3 only(b) 5 only(c) -3 or 3(d) -5 or 5Correct Answer: (d) -5 or 5Solution: 70. Solve it ?(a) k² (a² + b² + c²)(b) k² (a² - b² + c²)(c) k² (a + b + c)²(d) k² (a - b + c)²Correct Answer: (c) k² (a + b + c)²Solution: Submit Quiz« Previous12345678910Next »