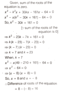
SOLVED PAPER 2022 (CDS) (I) (Elementary Mathematics)Total Questions: 10031. If α and β are the roots of thequadratic equation x² + αx + β = 0 where β ≠ 0, then what is the value of α - β ?(a) 4(b) 3(c) -1(d)-3Correct Answer: (b) 3Solution:32. A shopkeeper marks the price of an article at 200. After allowing a discount of 10%, he still gains 20% on the cost price. What is the cost price of the article?(a) ₹170(b) ₹160(c) ₹150(d) ₹120Correct Answer: (c) ₹150Solution:33. A person borrowed ₹ 9000 at 7%,₹ 12000 at 8% and ₹ 15000 at 9% on simple interest per annum. He had to pay ₹ 50700 at the end of n year. What is the value of n?(a) 3(b) 4(c) 5(d) 6Correct Answer: (c) 5Solution:34. Consider the following statements :1. The sum of the cubes of three consecutive natural numbers is divisible by 9. 2. Every even power of every odd number (> 1) when divided by 8 gives 1 as remainder.Which of the above statements is/are correct?(a) Only 1(b) Only 2(c) Both 1 and 2(d) Neither 1 nor 2Correct Answer: (c) Both 1 and 2Solution: 35. What is the number of divisors of 1000 (excluding 1 and 1000)?(a) 12(b) 13(c) 14(d) 16Correct Answer: (c) 14Solution:36. If the sum of the roots of theequation x² - k² x + 30kx - 161x - 64 = 0 is zero, then what is the difference of the roots?(a) 15(b) 16(c) 17(d) 18Correct Answer: (b) 16Solution:37. A piece of cloth costs ₹ 10000. If a 2 m longer piece of the same cloth is purchased for the same amount, it would cost ₹ 250 less per metre. What is the original length of the piece of cloth?(a) 8 m(b) 10 m(c) 12 m(d) 16 mCorrect Answer: (a) 8 mSolution:38. What is the condition that the roots of the equation ax² + bx + c = 0 are in the ratio c : 1 ?(a) b² = a (c + 1)²(b) a² = b (c + 1)²(c) b ² = a (c - 1)²(d) ab ² = (c + 1)²Correct Answer: (a) b² = a (c + 1)²Solution: 39. Two sides of a triangle forming a right angle are 6x² and (2x² - 1) If the area of the triangle is 84 square units, then what is the perimeter of the triangle?(a) 51 units(b) 53 units(c) 56 units(d) 59 unitsCorrect Answer: (c) 56 unitsSolution:40. A train X takes 2 h less than a train Y to cover a distance of 192 km between two cities. Their average speeds differ by 16 km/h. How long does the faster train take to cover the journey?(a) 3 h(b) 4 h(c) 5 h(d) 6 hCorrect Answer: (b) 4 hSolution: Submit Quiz« Previous12345678910Next »