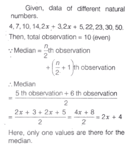
SOLVED PAPER 2022 (CDS) (II) (Elementary Mathematics)Total Questions: 10031. If x is the harmonic mean between y and z, then which one of the following is correct?(a) xy + xz - yz = 0(b) xy + xz - 2yz = 0(c) xy + xz + yz = 0(d) xy + xz - 4yz = 0Correct Answer: (b) xy + xz - 2yz = 0Solution:32. What is the median of all possible factors of 120?(a) 10(b) 11(c) 12(d) 13.5Correct Answer: (a) 10Solution:33. The sum of deviations of a set of n values measured from 50 is -10 and the sum of deviations of the values measured from 46 is 70. What is the mean of the values?(a) 48.5(b) 49.0(c) 49.5(d) 50.0Correct Answer: (c) 49.5Solution:34. Consider the following table in respect of students of 4 schools who appeared in a test.School Number of Student Average Mark in The Test I6060II5080II5040IVX50If the average marks of the students of all four schools are 58, then how many students appeared from School-IV?(a) 38(b) 40(c) 42(c) 42Correct Answer: (b) 40Solution:35. The data of different natural numbers 4, 7, 10, 14, 2x +3, 2x + 5, 22, 23, 30, 50 are in ascending order. How many possible values are there for the median of the data for various values of x?(a) Only one value(b) Only two values(c) Only three values(d) Five valuesCorrect Answer: (a) Only one valueSolution:36. If M is the mean of the first 100 even natural numbers, then what is the mean of the first 100 odd natural numbers?(a) M - 1(b) M(c) M + 1(d) M + 2Correct Answer: (a) M - 1Solution:37. Mean marks of 50 students were found to be 78.4. But later it was detected that 95 was misread as 59 and 25 was misread as 52. What is the difference between correct mean and incorrect mean?(a) 0.04(b) 0.08(c) 0.12(d) 0.18Correct Answer: (d) 0.18Solution:38. In a triangle ABC, ∠A = 2θ, ∠B = ∠C = 4θ and θ satisfies 4sin²θ + 2sinθ - 1 = 0. What is the ratio of BC to AB?(a)(b)(c)(d)Correct Answer: (d)Solution:39. A circle is inscribed in a triangle ABC. It touches the sides BC, CA, AB at D, E, F respectively. What is angle EDF equal to ?(a)(b)(c)(d)Correct Answer: (d)Solution:40. The length of a room is ²¹⁄₁₆ times its breadth and breadth is ⁴⁄₃ height. If H is the height of the room and L is the longest rod that can be placed in the room, then which one of the following is correct?(a) 12L = 29H(b) 9L = 25H(c) 7L = 23H(d) 5L = 13HCorrect Answer: (a) 12L = 29HSolution:Submit Quiz« Previous12345678910Next »