SOLVED PAPER 2022 (CDS) (II) (Elementary Mathematics)

Total Questions: 100

71. Consider the number

N = 12⁶ 3⁸ 5³ Which of the following statements is/are correct?

1. The number of odd factors of N is 60.
2. The number of even factors of Nis 720.

Select the correct answer using the code given below.

Correct Answer: (c) Both 1 and 2
Solution:Given, N = (12)⁶ × (3)⁸ × (5)³
= 2¹² × 3¹² × 5³
= (2 × 2 × 3)⁶ × (3)⁸ × (5)³

1. Number of odd factor of N
= Power of all odd numbers + 1
= (14 + 1)(3 + 1)
(∵ Here the power of 3 is 14 and the
power of 5 is 3. Will not take the
power of 2 as it is an even number)
= 15 × 4 = 60
Hence, Statement 1 is true.

2. Number of even factors of N
= (Power of all even numbers
+ power of all odd numbers + 1)
= (12)(14 + 1)(3 + 1)
= 12 × 15 × 4
Hence, Statement 2 is also true.
Then correct option will be (c).

72. Solved

Correct Answer: (c) 1
Solution:

73. What is the angle between the hour hand and the minute hand of a clock when the clock shows 4 h 40 min?

Correct Answer: (b) 100°
Solution:∵ 1h = 30°
4h = 4 × 30° = 120° ...(i)
Then, 1min = ½
(by dividing 360° each)
According to the question,
40 min = ¼ × 40° = 20°
[by dividing 60]
Total degree = (120° - 20°)
[from Equations (i) and (ii)]
= 100°

74. Solved

Correct Answer: (a) 12
Solution:

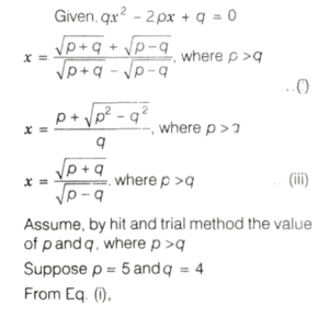
75. How many of the following values of x would satisfy the equation qx² - 2px + q = 0 ?


Select the correct answer using the code given below.

Correct Answer: (b) Only two values
Solution:

76. Let p(x) = x⁴ + x² + 1, q(x) = x⁴

- 2x³ + 3x² - 2x + 1. If GCD of
p(x) and q(x) is x² - x + 1, then
what is their LCM?

Correct Answer: (a) (x² + x + 1) (x² - x + 1)²
Solution:

77. Consider the question and two statements given below:

A 2-digit number is added to the number formed by reversing the digits of the 2-digit number.

Question What is the 2-digit number?
Statement 1. The sum is divisible by 9.
Statement 2. The sum is divisible by 2.

Which one of the following is correct in respect of the question and the statements?

Correct Answer: (c) Both Statement-1 and Statement-2 are sufficient to answer the question
Solution:Let 2 digit number be 17 and by
reversing it, it will be 71.
∴ Sum = 17 + 71 = 88
Sum is divisible by 2 but not 9.

Now, we can take another 2 digit
number be 18 and on reversing it,
number will be 81.
Sum = 18+ 81 = 99

So, therefore option (c) is correct
both Statements 1 and 2 are
sufficient to answer the question.

78. Consider the question and two statements given below.

LCM of two numbers x and y is 481 where x > y.

Question What is the value of (3x-2y)?
Statements 1. y > 1
Statement 2. HCF of x and y is 1.

Which one of the following is correct in respect of the question and the statements?

Correct Answer: (d) Both Statement-1 and Statement-2 are not sufficient to answer the question
Solution:We know that, LCM × HCF
= Product of two numbers
481 × 1 = xy
xy = 481
⇒ y > 1
3x - 2y = ?
⇒ 481/x > 1

So, both statements are not able to
find out the value of 3x - 2y Hence,
the correct option (d).

79. Consider the question and two statements given below:

Question Is (xⁿ + yⁿ) divisible by (x + y) ?
Statement 1. n is a natural number.
Statement 2. n is an even natural number.

Which one of the following is correct in respect of the question and the statements?

Correct Answer: (c) Both Statement-1 and Statement-2 are sufficient to answer the question
Solution:

80. Consider the question and two statements given below:

Let x and y be two real numbers.

Question Is xy > 0 ?
Statement 1. x⁸ y⁹ < 0
Statement 2. x⁹ y¹⁰ < 0

Which one of the following is correct in respect of the question and the statements?

Correct Answer: (c) Both Statement-1 and Statement-2 are sufficient to answer the question
Solution: