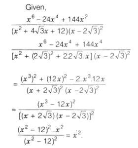
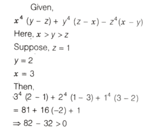
SOLVED PAPER 2022 (CDS) (II) (Elementary Mathematics)Total Questions: 10081. Consider the following statements:1. x⁴ (y - z) + y⁴ (z - x) + z⁴ (x - y) is positive if x > y > z 2. x⁴ (y - z) + y⁴ (z - x) + z⁴ (x - y) is negative if x < y < zWhich of the above statements is/are correct?(a) Only 1(b) Only 2(c) Both 1 and 2(d) Neither 1 nor 2Correct Answer: (c) Both 1 and 2Solution:82. Solved(a) x²(b) x² - 2(c) x² + 2√3(d) x² - 2√3Correct Answer: (a) x²Solution:83. X and Y can do a piece of work in 45 days and 40 days respectively. They begin to work together, but X leaves after n days and then Y completes the remaining work in 23 days. What is n equal to ?(a) 8(b) 9(c) 10(d) 12Correct Answer: (b) 9Solution:84. 480 persons working 10 h per day complete one-fourth of a work in 10 days. How many additional persons are to be employed in order to complete the remaining work in 20 days, working 8 h per day?(a) 400(b) 420(c) 480(d) 500Correct Answer: (b) 420Solution:85. 12 women and 16 men can do a piece of work in 5 days. 13 women and 24 men can do it in 4 days. How long will 25 women and 50 men take to do it.(a) 1 day(b) 2 days(c) 3 days(d) 4 dayCorrect Answer: (b) 2 daysSolution:86. There are two stations X and Y, 1320 km apart. A train starts from station X at 6 am and moves at an average speed of 60 km/h. At 2 pm another train starts from Y towards X and moves at an average speed of 80 km/h. When do they meet?(a) 6 pm(b) 7 pm(c) 8 pm(d) 9 pmCorrect Answer: (c) 8 pmSolution:87. Two glasses of equal volume are filled with a mixture of alcohol and water in the ratio 3 : 2 and 4 : 1, respectively. These glasses are emptied into a third glass. What is the ratio of alcohol and water in the third glass?(a) 5 : 4(b) 7 : 2(c) 7 : 3(d) 7 : 4Correct Answer: (c) 7 : 3Solution:88. If x is the HCF and y is the LCM of ⅗, ⁶⁄₂₅, ⁹⁄₂₀, ²⁷⁄₅₀ then which one of the following is correct?(a) y = 90x(b) y = 180x(c) y = 270x(d) y = 360xCorrect Answer: (d) y = 360xSolution:89. There are two natural numbers x and y, where x > y When x is divided by 6, it leaves the remainder 2 and when y is divided by 6, it leaves the remainder 3. What is the remainder when (x - y) is divided by 6?(a) 1(b) 3(c) 5(d) Remainder cannot be determinedCorrect Answer: (c) 5Solution:According to the question, x = 6k₁ + 2 y = 6k₂ + 3 x - y = 6k₁ + 2 - 6k₂ - 3 = 6(k₁ - k₂) - 1 x - y = 6(k₁ - k₂ - 1) + 6 - 1 = 6m + 5 ∵ When x - y is divided by 6, then remainder is 5.90. The value of a 2-digit number is 5 times the sum of the digits. What is the product of the digits?(a) 15(b) 18(c) 20(d) 27Correct Answer: (c) 20Solution:Submit Quiz« Previous12345678910Next »