SOLVED PAPER 2023 (CDS) (I) (Elementary Mathematics)

Total Questions: 100

11. If a, b, c, d, e and f satisfy 2a = 3b = 6c = 9d = 12e = 18f, then what is the value of (a + b) ÷ (c + d + e + f) ?

Correct Answer: (b) 2
Solution:

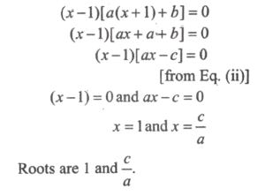
12. If a, b, c are non-zero real numbers such that a + b + c = 0 then what are the roots of the equation ax² + bx + c = 0 ?

Correct Answer: (c) 1, c/a
Solution:

13. Twelve per cent of bananas bought by a fruit vendor got lost during transportation. On selling the remaining bananas, the vendor's overall profit turned out to be 4%. If the vendor had not lost any bananas and had sold them at the price of the remaining bananas, what would have been his profit percentage?

Correct Answer: (c) 18 ²⁄₁₁ %
Solution:

14. If the positive square root of (5 + 3√2) (5 - 3√2) is α, then what is the positive square root of 8 + 2α ?

Correct Answer: (d) √7 + 1
Solution:

15. When every even power of every odd integer (greater than 1) is divided by 8, what is the remainder?

Correct Answer: (d) The remainder is not necessarily 1
Solution:Consider such a number given by (2K + 1)²ⁿ
= (4K² + 4K + 1)ⁿ
= (4(K² + K) + 1)ⁿ
K² + K = K(K + 1) is an even
number = 2p (say)
⇒ (2K + 1)²ⁿ = (8p + 1)ⁿ
Expanding by Binomial theorem,
all the terms except the last term 1
is divisible by 8.
∴ Remainder will be 1.

16. Consider the following statements

Correct Answer: (c) Both 1 and 2
Solution:

17. It is given that 5 does not divide n - 1, n and n + 1 where n is a positive integer. Which one of the following is correct?

Correct Answer: (a) 5 divides (n² + 1)
Solution:Given, 5 does not divide
n - 1, n, n + 1
⇒ 5 does not divide multiplication
of any two or three of them.
5 does not divide n(n - 1) = n² - n
5 does not divide n(n + 1) = n² + n
5 does not divide (n - 1) (n + 1) = n² - 1
Hence, option (a) is correct.

18. What is the largest 5-digit number, which leaves remainder 7, when divided by 18 as well as by 11?

Correct Answer: (c) 99997
Solution:


19. In a business dealing, A owes B ₹20000 payable after 5 yr, whereas B owes A ₹12000 payable after 4 yr. They want to settle it now at the rate of 5% simple interest. Who gives how much money in this settlement?

Correct Answer: (c) A gives ₹6000 to B
Solution:

A has to give ₹20000 to B after 5yr


20. A square sheet of side length 44 cm is rolled along one of its sides to form a cylinder by making opposite edges just to touch each other. What is the volume of the cylinder ? (Take π = ²²⁄₇)

Correct Answer: (a) 6776 cm³
Solution: