SOLVED PAPER 2023 (CDS) (I) (Elementary Mathematics)

Total Questions: 100

31. Let a, b, c and d be four positive integers such that,

a + b + c + d = 200
If S = (- l)ᵃ + (- l)ᶜ + (- l)ᵈ + (- l)ᶜ,
then what is the number of possible values of S?

Correct Answer: (c) Three
Solution:Case I = E₁ + E₂ + E₃ + E₄ = E
S = 1 + 1 + 1 + 1 = 4
Case II O₁ + O₂ + O₃ + O₄ = E
S = - 1 - 1 - 1 - 1 = - 4
Case III E₁ + E₂ + O₃ + O₄ = E
1 + 1 - 1 - 1 = 0

32. The number 97³⁰ - 14³⁰ is divisible by

Correct Answer: (c) Both 37 and 83
Solution:If aⁿ - bⁿ and n is even then,
aⁿ - bⁿ is divisible by (a - b) and
(a + b)
Therefore, 97³⁰ - 14³⁰ is divisible
by
(97 - 14) and (97 + 14)
97³⁰ + (- 14³⁰) ÷ 83 and 111
97³⁰ + (- 14³⁰) ÷ 83 and (37 × 3)
97³⁰ + (- 14³⁰) ÷ 83 and 37

33. Consider the following statements

1. log₁₀ 50  is a rational number.
2. log₁₀₀ 10 is an irrational number.

Which of the statements given above is/are correct?

Correct Answer: (d) Neither 1 nor 2
Solution:

34. If 17 women and 24 men can do a piece of work in 5 days and 12 women and 23 men can do it in 6 days, then which one of the following is correct?

Correct Answer: (a) Efficiency of 13 women = Efficiency of 18 men
Solution:(17W + 24M)5 = (12W + 23M)6
⇒ 85W + 120M = 72W + 138M
⇒ 13w = 18M
Efficiency of 13 women
= Efficiency of 18 men.

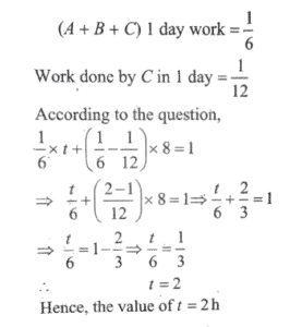
35. Three taps A, B and C together can fill a tank in 6 hr. Tap C alone can fill the tank in 12 h. To fill the tank, when it is empty, all the three taps are started together. After working t hours, tap C is closed and the tank is filled in 8 more hours. What is t equal to?

Correct Answer: (b) 2 h
Solution:

36. A, B and C can complete a work in x, 1.5x and 2x days respectively. If they complete the work together, in what ratio should they be paid?

Correct Answer: (b) 6 : 4 : 3
Solution:Let they complete the work together = 6x
A → x
B → 1.5x
C → 2x
A Efficiency = 6x ÷ 6 = 6
B Efficiency = 6x ÷ 1.5x = 4
C Efficiency = 6x ÷ 2x = 3
Required ratio = 6 : 4 : 3

37. Consider the following statements

1. n³ - n is divisible by 6.
2. n⁵ - n is divisible by 5.
3. n⁵ - 5n³ + 4n is divisible by 120.

Which of the statements given above are correct?

Correct Answer: (b) 2 and 3
Solution:Statement 1
n³ - n = n(n-1)
= n (n² - 1²)
= n (n - 1) (n + 1)
= (n - 1) n (n + 1)

Here, (n - 1) * n(n + 1) are the product of three consecutive integer which is always divisible by 2 and 3 i.e., 6

Statement 2
n⁵ - n
n(n⁴ - 1)
= n(n² - 1) (n² + 1)
= n(n - 1) (n + 1) (n² + 1)
= (n - 1) n (n + 1) (n² - 4 + 5)
= (n - 2) (n - 1) (n) (n + 1) (n + 2)
+ 5(n - 1) n (n - 1)
= Five consecutive integer multiple
5(n - 1) n (n - 1)
So, it is divisible by 5! i.e.,5

Statement 3
n⁵ - 5n³ + 4n
= n(n² - 4) (n² - 1)
= (n - 2) (n - 1) n (n + 1) (n + 2)
= Multiple of 5 consecutive integer
So, it is divisible by 5! = 120

38. What is the last digit of the sum S = 9²⁷ + 27⁹ ?

Correct Answer: (b) 6
Solution:S = 9²⁷ + 27⁹
[unit digit concept power divide by 4]
= 9³ + 27¹ = 729 + 27 = 756
Unit digit = 6

39. Solved

Correct Answer: (c) 30√3

40. The speed of a boat in still water is 15 km/h. If it can travel 42 km downstream and 28 km upstream in the same time, then what is the speed of the stream?

Correct Answer: (b) 3 km/h
Solution:Speed of boat (x) = 15km / h
Speed of stream = y km / h
According to the question,

t = t
42 ÷ (15 + y) = 28 ÷ (15 - y)
⇒ 6 ÷ (15 + y) = 4 ÷ (15 - y)
⇒ 6(15 - y) = 4(15 + y)
⇒ 90 - 6y = 60 + 4y
⇒ 90 - 60 = 6y + 4y
⇒ 10y = 30
y = 3km/h