SOLVED PAPER 2023 (CDS) (I) (Elementary Mathematics)

Total Questions: 100

41. What is the difference between simple interest and compound interest on ₹10000 for two years at 20% p.a. compounded half-yearly?

Correct Answer: (c) ₹641
Solution:

42. Consider the following statements in respect of the polynomial

a(b - c) (x - b) (x - c) + b(c - a)
(x - c) (x - a) + c(a - b) (x - a) (x - b)
1. The coefficient of x² is 0.
2. The coefficient of x is (a - b) (b - c) (c - a).

Which of the statements given above is/are correct?

Correct Answer: (a) Only 1
Solution:


43. Consider the following statements in respect of the polynomial 1 - x - xⁿ + xⁿ⁺¹ where n is a natural number

1. It is divisible by 1 - 2x + x².
2. It is divisible by 1 - xⁿ .

Which of the statements given above is/are correct?

Correct Answer: (c) Both 1 and 2

44. For what values of m, is mx² + mx + 8x + 9 a perfect square?

Correct Answer: (d) 4, 16
Solution:mx² + mx + 8x + 9
mx² + x(m + 8) + 9
If, mx² + x(m + 8) + 9 a perfect
square, then its roots are equal
⇒ b² = 4ac (m + 8)² = 4m × 9
m² + 64 + 16m = 36m
m² + 64 - 20m = 0
m² - 20m + 64 = 0
m² - 4m - 16m + 64 = 0
m(m - 4) - 16(m - 4) = 0
(m - 4) (m - 16) = 0
⇒ m = 4, 16

45. Solved

Correct Answer: (b) b²
Solution:


46. Consider the following:

Correct Answer: (b) 2 and 3
Solution:

47. If sin θ = ¹²⁄₁₃, then what is the value of (tanθ + secθ)² (cosecθ - cotθ)⁻², 0 < θ < π/2 ?

Correct Answer: (d) ²²⁵⁄₄
Solution:

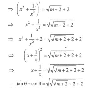
48. If tan⁸ θ + cot⁸ θ = m then what is the value of tan θ + cot θ ?

Correct Answer: (c)
Solution:


49. What is the minimum value of 6 - 4sin θ, 0 ≤ θ ≤ π/2 ?

Correct Answer: (b) 2
Solution:6 - 4sin θ
Maximum value of sin θ = 1
6 - 4(1) = 6 - 4 = 2

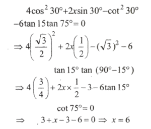
50. What is the value of x that

satisfies 4cos² (30°) +
2sin 30° - cot² (30°) -
6tan 15° tan 75° = 0 ?

Correct Answer: (d) 6
Solution: