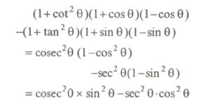
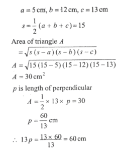
SOLVED PAPER 2023 (CDS) (I) (Elementary Mathematics)Total Questions: 10051. What is the value of(cos² 32° + cos² 58°) ÷ (sec² 50° - sec² 40°) 4 tan13° tan37° tan53° tan77° ?(a) 2(b) 3(c) 4(d) 5Correct Answer: (d) 5Solution:52. What is the value of(l + cot² θ)(l + cos θ)(l - cos θ) - (l + tan²θ) (l + sin θ)(l - sin θ)(a) -1(b) 0(c) 1(d) 2Correct Answer: (b) 0Solution:53. If 2cos² θ + sin θ - 2 = 0, 0 < θ ≤ π/2 then what is the value of θ ?(a) π/2(b) π/4(c) π/3(d) π/2Correct Answer: (a) π/2Solution:54. A person on the top of a vertical tower observes a car moving at a uniform speed coming directly towards it. If it takes 6 min for the angle of depression to change from 30° to 45°, and further t min to reach the tower, which one of the following is correct(a) 7.7 < t < 8(b) 8 < t < 8.3(c) 8.3 < t < 8.6(d) 8.6 < t < 8.9Correct Answer: (b) 8 < t < 8.3Solution:55. A woman is standing on the deck of a ship, which is h (in metres) above water level. she observes the angle of elevation of the top of a tower as 60° and the angle of depression of the base of the tower as 30°. What is the height of the tower?(a) 2h(b) 3h(c) 4h(d) 5hCorrect Answer: (c) 4hSolution:56. Let ABC be a right-angled triangle with sides 5 cm, 12 cm and 13 cm. If p is the length of the perpendicular drawn from vertex A on the hypotenuse BC, then what is the value of 13p?(a) 24(b) 48(c) 60(d) 90Correct Answer: (c) 60Solution:57. OABC is a rhombus whose three vertices lie on a circle with centre at O. If the area of the rhombus is 32√3cm² then what is the radius of the circle?(a) 4 cm(b) 6 cm(c) 8 cm(d) 16 cmCorrect Answer: (c) 8 cmSolution:58. The surface area of a cube is increased by 25%. If p is the percentage increase in its length, then which one of the following is correct?(a) 16 < p < 18(b) 14 < p < 16(c) 12 < p < 14(d) 10 < p < 12Correct Answer: (d) 10 < p < 12Solution:59. A solid cube is cut into two cuboids of equal volume. What is the ratio of total surface area of the given cube to that of one of the cuboids?(a) 2 : 1(b) 3 : 2(c) 4 : 3(d) 5 : 3Correct Answer: (b) 3 : 2Solution:60. The length of a diagonal of a cuboid is 11 cm. The surface area is 240 square cm. What is the sum of its length, breadth and height?(a) 16 cm(b) 17 cm(c) 18 cm(d) 19 cmCorrect Answer: (d) 19 cmSolution:Submit Quiz« Previous12345678910Next »