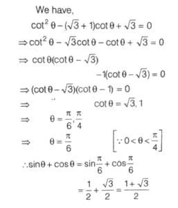
SOLVED PAPER 2023 (CDS) (II) (Elementary Mathematics)Total Questions: 10021. Consider the following statementsI. If (a + b) is directly proportional to (a - b) then (a² + b²) is directly proportional to ab. II. If a is directly proportional to b, then, (a² - b²) is directly proportional to ab.Which of the statements given above is/are correct?(a) Only I(b) Only II(c) Both I and II(d) Neither I nor IICorrect Answer: (c) Both I and IISolution: 22. If (3a + 6b + c + 2d) × (3a - 6b - c + 2d)= (3a - 6b + c - 2d) × (3a + 6b - c - 2d), then which one of the following is correct?(a) ab = cd(b) ac = bd(c) ad = bc(d) ad + bc = 0Correct Answer: (c) ad = bcSolution: 23. If 3sinθ + 5cosθ = 5, then what is the value of 5sinθ - 3cosθ equal to?(a) 5(b) -3(c) -2(d) 0Correct Answer: (b) -3Solution:24. The combined age of a man and his wife is 6 times the combined age of their children. 2 yr ago their combined age was 10 times the combined age of their children; and 6 yr later their combined age will be 3 times the combined age of their children. How many children do they have if each child is at least 2 yr old ?(a), 2(b) 3(c) 4(d) 5Correct Answer: (b) 3Solution: 25. What is 3 (sin x - cos x)⁴+ 6(sin x + cos x)² + 4 (sin x)⁶ + 4 (cos x)⁶ equal to?(a) 9(b) 11(c) 13(d) 15Correct Answer: (c) 13Solution: 26. What is the value of sinθ + cosθ if θ satisfies the equationcot² θ - (√3) + 1) cot θ + √3 = 0; 0 < θ < π ÷ 4 ?(a) √2(b) 2(c) (√3+1) ÷ 2(d) (√3-1) ÷ 2Correct Answer: (c) (√3+1) ÷ 2Solution:27. Which one of the following is a value of θ if θ satisfies the equation tan 2θ tan 4θ-1 = 0 ; 0 < θ < π÷2 ?(a) π ÷ 12(b) π ÷ 15(c) π ÷ 6(d) π ÷ 5Correct Answer: (a) π ÷ 12Solution:28. Solved(a)(b)(c)(d)Correct Answer: (a)Solution: 29. How many values of theta will satisfythe equation (sin² θ - 4sin θ + 3) (4 - cos² θ + 4sin θ) = 0, where 0 < θ < π÷2 ?(a) None(b) Only one(c) Only two(d) Only threeCorrect Answer: (a) NoneSolution:30. If x sin³ θ + y cos³ θ = sin θ cos θand x sin θ - y cos θ = 0 for every θ ∈ (0, π/2), then what is x² + y² equal to?(a) 0(b) 1(c) 2(d) 3Correct Answer: (b) 1Solution:Submit Quiz« Previous12345678910Next »