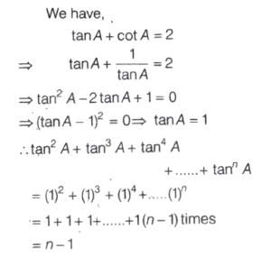
SOLVED PAPER 2023 (CDS) (II) (Elementary Mathematics)Total Questions: 10061. A pendulum swings through an angle of 9° and its end describes an arc of length 14.3 cm. What is the length of the pendulum? (take, π = 22/7)(a) 88 cm(b) 91 cm(c) 95 cm(d) 98 cmCorrect Answer: (b) 91 cmSolution:62. The arch of a bridge is in the form of an arc of a circle. If the span of the bridge is 40 m and height in the middle is 8 m, then what is the radius of curvature of the bridge?(a) 25 m(b) 27 m(c) 29 m(d) 31 mCorrect Answer: (c) 29 mSolution: 63. If a, b and c are the sides of a right-angled triangle, where a > b >c, then what is the value of the expression(a + b + c) (a + b - c) (a - b + c) (a - b - c) ?(a) 4b²c²(b) - 4b²c²(c) - 2a²b²(d) - 4a²b²Correct Answer: (b) - 4b²c²Solution:64. The cube root of x varies inversely as the square root of y. x = 8 when y = 3 What is the value of x when y = ³√3?(a) 18(b) 21(c) 24(d) 27Correct Answer: (c) 24Solution: 65. Three solid lead spheres of diameters 6 cm, 8 cm and 10 cm are melted together and recast as a solid sphere. What is the percentage diminution of the surface area as compared to the sum of the surface area of the three spheres ?(a) 25%(b) 26%(c) 27%(d) 28%Correct Answer: (d) 28%Solution: 66. A solid sphere of radius 3 cm is melted to form a hollow cylinder of height 4 cm and external diameter 10 cm. What is the thickness of the cylinder ?(a) 0.42 cm(b) 0:46 cm(c) 0.50 cm(d) 1.00 cmCorrect Answer: (d) 1.00 cmSolution: 67. Three glasses P, Q and R have capacities in the ratio 1 : 2 : 3. All these glasses are completely filled with mixtures of milk and water. The ratio of milk to water in P is 1 : 2, in Q it is 2 : 3 and in R it is 3 : 1. If the content of all three glasses are put into a bigger container, what will be the ratio of milk to water in the container ?(a) 203 : 117(b) 203 : 157(c) 172 : 91(d) 165 : 88Correct Answer: (b) 203 : 157Solution:68. Solved(a)(b)(c)(d)Correct Answer: (c)Solution:69. Solved(a)(b)(c)(d)Correct Answer: (c)Solution:70. If tan A + cot A = 2 where0 < A < 90° then what is the value of tan² A + tan³ A +tan⁴ A +.......+ tanⁿ A ?(a) 1(b) n - 2(c) n - 1(d) nCorrect Answer: (c) n - 1Solution:Submit Quiz« Previous12345678910Next »