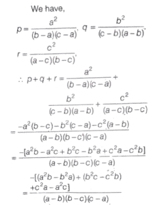
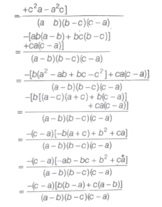
SOLVED PAPER 2023 (CDS) (II) (Elementary Mathematics)Total Questions: 10071. Which of the following is/are identity/identities?(a) Only I(b) Only II(c) Both I and II(d) Neither I nor IICorrect Answer: (c) Both I and IISolution: 72. If 7sin⁴ θ + 9cos⁴ θ +42 sin² θ = 16, 0 < θ < π/2, then what is tan θ equal to?(a) 1(b) √2(c) √3(d) 1/√3Correct Answer: (d) 1/√3Solution: 73. An isosceles triangle has its base length 2a and its height is h. On each side of the triangle a square is drawn external to the triangle. What is the area of the figure thus formed?(a)(b)(c)(d)Correct Answer: (b)Solution: 74. Solved(a) 9(b) 4(c) 1(d) 0Correct Answer: (c) 1Solution: 75. Which one of the following is a factor ofa² - b² - c² + 2bc + a + b - c ?(a) a + b + c + 1(b) a - b - c + 1(c) a + b + c - 1(d) a - b + c + 1Correct Answer: (d) a - b + c + 1Solution:76. Solved(a)(b)(c)(d)Correct Answer: (b)Solution: 77. Solved(a) 0(b) 1(c) 1.8(d) 20Correct Answer: (d) 20Solution: 78. A train completely overtakes two persons, walking in the same direction with speeds 3 km/h and 4 km/h in 9 sec and 75/8 sec, respectively. What is the length of the train?(a) 60 m(b) 62.5 m(c) 55 m(d) 67.5 mCorrect Answer: (b) 62.5 mSolution: 79. A person bought an article and sold it at a profit of 20%. Had he bought it at 20% less, what would have been the profit percentage if the selling price had been the same?(a) 25%(b) 40%(c) 50%(d) 60%Correct Answer: (c) 50%Solution:80. If 2s = a + b + c then what iss² + (s - a) (s - b) + (s - b) (s - c) (s - c) (s - a) equal to?(a) (a + b + c)²(b) ab + bc + ca(c) 2(ab + bc + ca)(d) 3(ab + bc + ca)Correct Answer: (b) ab + bc + caSolution:Submit Quiz« Previous12345678910Next »