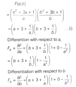
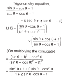
SOLVED PAPER 2024 (CDS) (I) (Mathematics)Total Questions: 10051. If tan(3A) = cot(A - 22°) where 3A is an acute angle, then what is the value of A?(a) 25°(b) 27°(c) 28°(d) 30°Correct Answer: (c) 28°Solution:52. Find the value(a) 0(b) 1(c) 2(d) 4Correct Answer: (c) 2Solution:53. The angles of elevation of the top of a tower from two points A and B at a distance of x m and (x + 5) m from the base of the tower of height 6 m and in the same straight line with it are complementary. What is the value of x ?(a) 4 m(b) 5m(c) 6m(d) 9 mCorrect Answer: (a) 4 mSolution:54. Consider the following statements1. In a triangle ABC, if sin A + sin B + sin C = (3√3)/2 then the triangle can be equilateral.2. In a triangle ABC, if cos A + cos B + cos C = 3/2 then the triangle can be equilateral.Which of the statements given above is/are correct?(a) Only 1(b) Only 2(c) Both 1 and 2(d) Neither 1 nor 2Correct Answer: (c) Both 1 and 2Solution:55. Two trains A and B leave Delhi for Hyderabad at 7:00 am and 7:50 am on the same day and travel at 80 km/h and 100km / h respectively. After how many kilometers from Delhi will the two trains be together?(a) 200/3 km(b) 100 km(d) 1000/3 km(c) 400/3 kmCorrect Answer: (d) 1000/3 kmSolution:56. The length, breadth and height of a cuboid are increased by 10%, 20% and 50%, respectively. What is the percentage increase in volume of the cuboid ?(a) 100%(b) 99%(c) 98%(d) 50%Correct Answer: (c) 98%Solution: 57. ₹ 9400 is distributed among P, Q, R in such a way that if ₹ 93, ₹ 24, ₹ 55 are deducted from their respective shares, then they have money in the ratio 3 : 4 : 5. What is the share of P?(a) ₹ 2307(b) ₹ 2376(c) ₹ 2508(d) ₹ 2896Correct Answer: (a) ₹ 2307Solution:58. If P² varies as R and Q² varies as R, (P ≠ Q ), then which of the following are correct?1. P² + Q² varies as R.2. PQ varies as R.3. P² - Q² varies as R.Select the correct answer using the code given below:(a) 1 and 2 Only(b) 2 and 3 Only(c) 1 and 3 Only(d) 1, 2 and 3Correct Answer: (d) 1, 2 and 3Solution:59. p number of men can finish a piece of work in q days. If there are 50% more men, then the work will be finished 12 days earlier. What is the value of q?(a) 48(b) 40(c) 36(d) Cannot be determined due to insufficient dataCorrect Answer: (c) 36Solution:According to question, pq = 1.5p(q - 12) ⇒ pq = 1.5pq - 18p ⇒ 18p = 0.5pq ⇒ q = 18/0.5 ⇒ q = 3660. Read the statement.(a) 1(b) 9(c) 16(d) 25Correct Answer: (d) 25Solution: Submit Quiz« Previous12345678910Next »