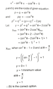
SOLVED PAPER 2024 (CDS) (II) (Mathematics)Total Questions: 10011. What is the maximum value of 8sin θ - 4sin² θ ?(a) 3(b) 4(c) 8(d) 12Correct Answer: (b) 4Solution:12. What is (1 + tanα tanβ)² + (tanα - tanβ)² equal to ?(a) tan²α tan²β(b) sec²α sec²β(c) tan²α cot²β(d) sec²α tan²βCorrect Answer: (b) sec²α sec²βSolution:13. Consider the following statementsI. tan 50° - cot 50° is positive, II. cot 25° - tan 25° is negativeWhich of the statements is/are correct?(a) Only I(b) Only II(c) Both I and II(d) Neither I nor IICorrect Answer: (a) Only ISolution:14. If 0 ≤ (α - β) ≤ (α + β) ≤ π/2,tan(α + β) = √3 and tan(α - β) = 1/√3, then what is tanα cot 2β equal to!(a) 1(b) √2(c) √3(d) 1/√3Correct Answer: (c) √3Solution:15. What is the value of sin²θ cos²θ (sec²θ + cosec²θ) equal to(a) 0(b) 1(c) 2(d) 4Correct Answer: (b) 1Solution:16. .(a) 1(b) 2(c) 3(d) 4Correct Answer: (b) 2Solution:17. If cosecθ - cotθ = m and secθ - tanθ = n, then what is cosecθ + secθ equal to(a)(b)(c)(d)Correct Answer: (a)Solution:18. From a Point X on a bridge across a river, the angles of depression of two Points the banks on opposite side of the river are a and beta respectively. If the Point X is at a height h above the surface of the river, what is the width of the river if a and beta are complementary?(a) 2h (tanα + cotα)(b) h tanα . tanß(c) h cotα . cotß(d) h secα . cosecαCorrect Answer: (d) h secα . cosecαSolution:Let PQ be a river, In ΔPOX, tanα = h/OP OP = hcotα 19. In a triangle ABC, ∠ABC = 60° and AD is the altitude. If AB = 6cm and BC = 8cm then what is the area of the triangle?(a) 12cm²(b) 12√cm²(c) 24cm²(d) 24 √3cm²Correct Answer: (b) 12√cm²Solution:20. If p and q are the roots of the equation x² - sin² θx - cos² θ = 0 then what is the minimum value of p² + q² ?(a) 1/2(b) 1(c) 3/2(d) 2Correct Answer: (b) 1Solution:Submit Quiz« Previous12345678910Next »