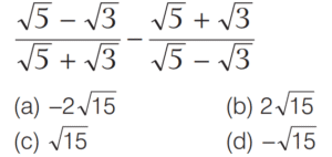
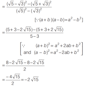
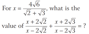
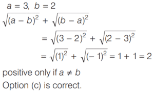
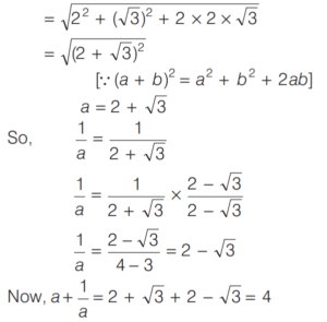
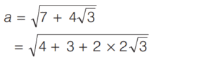
SQUARE ROOTS AND SURDS (CDS)Total Questions: 221. Given y is inversely roportional to √x, and x = 36 when y = 36. What is the value of x when y = 54 ? [2019 (II) Evening Shift](a) 54(b) 27(c) 16(d) 8Correct Answer: (c) 16Solution:According to the question,2. What is the square root of 16 + 6√7 ? [2019 (II) Evening Shift](a) 4 + √7(b) 4 - √7(c) 3 + √7(d) 3 - √7Correct Answer: (c) 3 + √7Solution:Let x = 16 + 6√73. Solve the following equation [2019 (II) Evening Shift](a) 2(b) 3(c) 4(d) 7Correct Answer: (c) 4Solution: 4. Suppose n is a positive integer such that (n² + 48) is a perfect square. What is the number of such n? [2019 (I) Morning Shift](a) One(b) Two(c) Three(d) FourCorrect Answer: (c) ThreeSolution: 5. Solve the following equation [2019 (I) Morning Shift](a) 1(b) √2(c) √3(d) 2Correct Answer: (d) 2Solution: 6. Solve the following equation [2019 (I) Morning Shift](a) always zero(b) never zero(c) positive only if a ≠ b(d) positive if and only if a > bCorrect Answer: (c) positive only if a ≠ bSolution:a and b are any two real numbers.7. What is the value of [2019 (I) Morning Shift](a) 1(b) 2(c) 3(d) 4Correct Answer: (d) 4Solution: 8. The expression 5²ⁿ − 2³ⁿ has a factor [2019 (I) Morning Shift](a) 3(b) 7(c) 17(d) None of theseCorrect Answer: (c) 17Solution:5²ⁿ − 2³ⁿ has a factor,9. What is the value of [2018 (I) Morning Shift](a)(b)(c)(d)Correct Answer: (a)Solution: 10. Solve the following equation [2017 (II) Evening Shift](a) equals to 1(b) lies between 0 and 1(c) lies between 1 and 2(d) is greater than 2Correct Answer: (c) lies between 1 and 2Solution: Submit Quiz123Next »