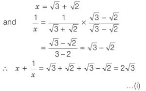
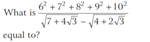
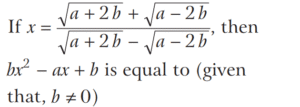
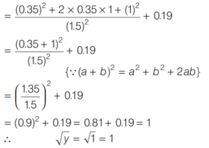
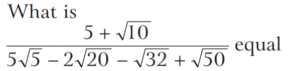
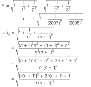
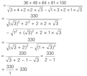
SQUARE ROOTS AND SURDS (CDS)Total Questions: 2211. Solve the following equation [2017 (I) Morning Shift](a)(b)(c)(d)Correct Answer: (b)Solution:12. What is the square root of [2017 (I) Morning Shift](a) 1(b) 2(c) 3(d) 4Correct Answer: (a) 1Solution: 13. Solve the following equation [2017 (I) Morning Shift](a)(b)(c)(d)Correct Answer: (a)Solution:14. Solve the following equation [2016 (II) Evening Shift](a) 330(b) 340(c) 355(d) 366Correct Answer: (a) 330Solution: 15. Solve the following equation [2016 (II) Evening Shift](a)(b)(c)(d)Correct Answer: (a)Solution:Let, 16. Solve the following equation [2016 (I) Morning Shift](a) 0(b) 1(c) ab(d) 2abCorrect Answer: (a) 0Solution: 17. Solve the following equation [2015 (II) Evening Shift](a) 10√3(b) 20√3(c) 10√2(d) 20√2Correct Answer: (b) 20√3Solution:We have, 18. Which one of the following is correct? [2015 (II) Evening Shift](a)(b)(c)(d)Correct Answer: (a)Solution: 19. Solve the following equation [2015 (I) Morning Shift](a) 5(b) 5√2(c) 5√5(d) √5Correct Answer: (d) √5Solution:20. The square root of [2015 (I) Morning Shift](a) 1(b) 2(c) 3(d) 4Correct Answer: (b) 2Solution: Submit Quiz« Previous123Next »