STATISTICS (CDS)

Total Questions: 63

11. The following pairs relate to frequency distribution of a discrete variable and its frequency polygon. Which one of the following pairs is not correctly matched?

Correct Answer: (d) Area of the polygon - Total frequency of the distribution
Solution:Area of the polygon is not related to the total frequency of the distribution. Then, option (d) is correct.

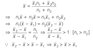
12. Simplify the question

Correct Answer: (b) 2
Solution:

13. Data on ratings of hotels in a city is measured on

Correct Answer: (b) Ordinal scale
Solution:Data on rating of hotels in a city is measured on ordinal scale.

14. The median of 19 observations is 30. Two more observations are made and the values of these are 8 and 32. What is the median of the 21 observations?

Correct Answer: (d) Cannot be determined due to insufficient data
Solution:The median of the 21 observations will not change because 8 is less than 30 and 32 is greater than 30.

15. As the number of observations and classes increases, the shape of a frequency polygon

Correct Answer: (b) Tends to become increasingly smooth
Solution:We know that, when the number of observations and classes increases then the shape of a frequency polygon tends to become increasingly smooth.

16. Answer the following question

Correct Answer: (a)
Solution:

17. Consider the following statements:

Statement I Median can be computed even when the end intervals of a frequency distribution are open.
Statement II Median is a positional average.

Which one of the following is correct in respect of the above statements?

Correct Answer: (a) Both Statements I and II are true and Statement II is the correct explanation of Statement I
Solution:We know that, median always lies in the center of the distribution therefore it is called a positional average and so we can compute it even when the end intervals of a frequency distribution are open.

18. A pie chart is drawn for the following data.

What is the angle (approximately) subtended by the social services Sector at the centre of the circle?

Correct Answer: (c) 58°
Solution:

19. The arithmetic mean of 11 observations is 11. The arithmetic mean of the first 6 observations is 10.5 and the arithmetic means of the last 6 observations is 11.5. What is the sixth observation?

Correct Answer: (c) 11.0
Solution:

20. Frequency density of a class is computed by the ratio

Correct Answer: (a) Class frequency to the class width
Solution:Frequency density of a class is computed by the ratio of class frequency to the class width.