STATISTICS (CDS)

Total Questions: 63

21. The pie diagram on the monthly expenditure of two families A and B are drawn with radii of two circles taken in the ratio 16 : 9 to compare their expenditures.

Which one of the following is the appropriate data used for the above mentioned pie diagrams?

Correct Answer: (c) ₹25600 and ₹8100
Solution:

22. Consider the following statements

Statement I The value of a random variable having the highest frequency is mode.
Statement II Mode is unique.

Which one of the following is correct is the respect of the above statements?

Correct Answer: (c) Statement I is true but Statement II is false
Solution:We know that, mode is the value of the variable for which the frequency is maximum.
∴ Statement I is correct. But statement II is incorrect, as mode may not be unique.
For e.g. For the data set {2, 4, 9, 6, 4, 6, 6, 2, 8, 2} there are two modes namely 2 and 6.

23. Which one of the following is not correct? The proportion of various items in a pie diagram is not proportional to the

Correct Answer: (d) perimeters of the slices
Solution:

We know that, pie chart is a circular chart divided into sectors in which the arc length, its central angle and area are proportional to the quantities that it represents.
So, proportion of various items in a pie diagram can’t be proportional to the perimeters of the slices.

24. The total number of live births in a specific locality during different months of a specific years was obtained from the office of the Birth Registrar. This set of data may be called

Correct Answer: (b) secondary data
Solution:

We know that, data which are not originally collected rather obtained from published or unpublished sources are known as secondary data.
So, the given set of data may be called secondary data.

25. The heights (in cm) of 5 students are 150, 165, 161, 144 and 145. What are the value of mean and median (in cm) respectively?

Correct Answer: (b) 155 and 155
Solution:

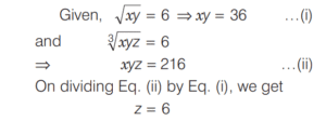
26. The geometric mean of x and y is 6 and then geometric mean of x, y and z is also 6. Then the value of z is

Correct Answer: (c) 6
Solution:

27. In a pie diagram there are four slices with angles 150º, 90º, 60°, 60º. A new pie diagram is formed by deleting one of the slices having angle 60º in the given pie diagram. In the new pie diagram

Correct Answer: (c) the largest slice has angle 180º
Solution:

28. In an asymmetrical distribution, if the mean and median of the distribution are 270 and 220 respectively, then the mode of the date is

Correct Answer: (a) 120
Solution:We know that, 3 Median = Mode + 2 Mean
⇒ Mode = 3 Median − 2 Mean
= 3 × 220 − 2 × 270
= 660 − 540 = 120

29. Consider the following frequency distribution

What are the values of f₁ and f₂ respectively?

Correct Answer: (c) 11 and 16
Solution:

30. The mean of 5 numbers is 15. If one more number is included, the mean of the 6 numbers becomes 17. What is the included number?

Correct Answer: (d) 27
Solution: