Strength of Material (General Engineering) (SSC JE)

Total Questions: 50

31. A cantilever beam is loaded as shown in the following figure. what is the shape of the bending moment diagram for portion AB? [APPSC AE PRE.-15.05.2022 ]

Correct Answer: (d) Linearly varying with maximum bending moment at A
Solution:


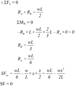
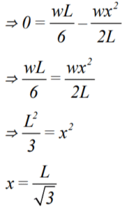
32. For the simply supported beam shown in the following figure, at what distance from the support A is the shear force zero? [APPSC AE PRE.-15.05.2022 ]

Correct Answer: (d) L/√3
Solution:



33. Which of the following statements is NOT true about pure bending in beams? [APPSC AE PRE.-15.05.2022 ]

Correct Answer: (d) Shear stress is present in the beam.
Solution:

Pure bending– If a length of a beam is subjected to a beam is subjected to a constant bending moment and no shear force then the stresses will be set up in that length of the beam due to BM only and that length of the beam is said to be in pure bending or simple bending.

34. Which of the following is NOT an assumption used in the Theory of Simple Bending? [APPSC AE PRE.-15.05.2022 ]

Correct Answer: (d) The radius of curvature is small compared with the dimensions of the cross-section.
Solution:Assumption of simple bending–
The material of the beam is homogeneous and isotropic
The value of Young's Modulus of elasticity is the same in tension and compression.
The transverse section which were plane before bending remain plane after bending.
The beam is initially straight and all longitudinal element bend into circular arcs with a common center of curvature.
The radius of curvature is large compared with the dimensions of the cross-section.
Each layer of the beam is free to expand or contract, independently of the layer above or below it.

35. A 200 -mm-wide, 300-mm -deep and 4-m -long simply supported beam is shown in the following figure. The bending moment at the point C which is 60 mm below the top surface and 1.2m from the left support is: [APPSC AE PRE.-15.05.2022 ]

Correct Answer: (d) 627 kN.m
Solution:


36. A 120-mm-wide and 10-mm-thick steel plate is bent into circular arc of 8-m radius. The maximum value of stress produced is (take Young's Modulus of Rigidity, E, = 200 GPa): [APPSC AE PRE.-15.05.2022 ]

Correct Answer: (c) 125 Mpa
Solution:

37. The variation of bending moment due a point load on a simply supported beam is governed by the ______. [APPSC AE PRE.-15.05.2022 ]

Correct Answer: (c) Linear Law
Solution:


38. Variation is shear force in a cantilever beam (length = ℓ ), carrying a load, the intensity of which varies uniformly from zero at the fixed end to w per unit run at the free end, is (x is distance from free end): [APPSC AE PRE.-15.05.2022]

Correct Answer: (b)
Solution:



39. A simply supported beam (length = ) has a distributed load of intensity varying with zero at each end to w per unit run at midspan. The variation in shear force will be: [APPSC AE PRE.-15.05.2022 ]

Correct Answer: (c)
Solution:


40. A simply supported beam (length=ι), has a distributed load of intensity varying with zero at each end to w per unit run at midspan. the variation in bending moment will be (x is distance from left end): [APPSC AE PRE.-15.05.2022 ]

Correct Answer: (a)
Solution: