Strength of Material (Part-2) (General Engineering) (SSC JE)

Total Questions: 50

1. A bar of brass is enclosed in a steel tube and is rigidly fastened at both the ends. If the coefficient of thermal expansion of brass is more than that of steel, when temperature rises, the nature of stresses developed are [BPSC AE (GEN. ENGG.) 15.09.2018 ]

Correct Answer: (a) tensile in steel tube and compressive in brass bar
Solution:

When a bar of brass is enclosed in a steel tube and is rigidly fastened at both ends and the coefficient of thermal expansion of brass is more than that of steel.
αbᵣₐₛₛ > αₛₜₑₑₗ
As we know that thermal stress is directly proportion to the coefficient of thermal expansion of material.
αₜₕₑᵣₘₐₗ ∝ α
Brass tube expand more than steel so that steel tube feels tension and brass tube fuel compression because it is enclosed in steel tube and it is restricted to free expansion.

2. The relationship among modulus of elasticity E, bulk modulus K and Poisson's ratio m is [BPSC AE (GEN. ENGG.) 15.09.201 or RSMSSB JE (E&M) Degree - 26/12/2020]

Correct Answer: (b) E = 3K (1–2m)
Solution:

3. A portion of beam between two sections is said to be in pure bending, when there is [BPSC AE (GEN. ENGG.) 15.09.2018 ]

Correct Answer: (b) constant bending moment and zero shear force
Solution:

A portion of beam between two sections is said to be in pure bending, when there is constant bending moment in that portion and zero shear force.

4. Maximum shear stress in a beam of circular section is ............ times the average stress [BPSC AE (GEN. ENGG.) 15.09.2018 ]

Correct Answer: (b) 1.33
Solution:

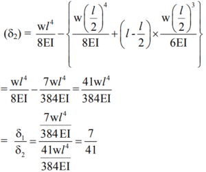
5. A cantilever carries a uniformly distributed load from fixed end to the mid-span in the first case and a UDL of same intensity from mid-span to the free end in the second case. The ratio of maximum deflections in the two cases is [BPSC AE (GEN. ENGG.) 15.09.2018 ]

Correct Answer: (d) 7/41
Solution:



6. Kern of rectangular columns is having ......... shape. [BPSC AE (GEN. ENGG.) 15.09.2018 ]

Correct Answer: (c) diamond
Solution:

Kern or Core–It is a portion of cross-section in which no tensile stresses are induced in member during loading.

7. In the analysis of thin cylinders, assumptions made are [BPSC AE (GEN. ENGG.) 15.09.2018 ]

(i) radial stress is neglected
(ii) the hoop and longitudinal stress distribution across section is uniform
Which statement/statementsis/are correct?

Correct Answer: (a) Both (i) and (ii) are true
Solution:

The assumption aremade while analysing thin cylinders–
1. Radial stress is neglected
2. The hoop and longitudinal stress distribution across
the section is uniform.
Hence, both statements are correct.

8. A bar AC shown in the figure given below is fixed at both ends and is subjected to a torque t at B where AB = L/3 . Then torque at end A is [BPSC AE (GEN. ENGG.) 15.09.2018 ]

Correct Answer: (c) 2t/3
Solution:
Angle of twisting will be same for AB and BC of AC

9. A is shaft of diameter d and B is a shaft of diameter 2d. The ratio of polar modulus of section B to section A is [BPSC AE (GEN. ENGG.) 15.09.2018 ]

Correct Answer: (c) 8
Solution:

Polar modulus of section-

10. Which of the following material requires the largest shrinkage allowance, while making a pattern for casting? [MPSC AE PRE.-08.07.2018 ]

Correct Answer: (c) Lead
Solution:Allowance required while making a pattern for casting–
1. Shrinkage allowance
2. Machining allowance
3. Taper allowance
4. Camber allowance
Largest shrinkage allowance is required for lead among the given options