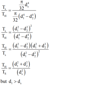
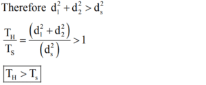
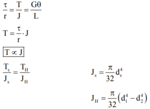
Strength of Material (Part-2) (General Engineering) (SSC JE)Total Questions: 5011. ______ is widely used in tool steels because the tool will maintain its hardness even at red heat. [MPSC AE PRE.-08.07.2018 ](a) Chromium(b) Nickel(c) Tungsten(d) VanadiumCorrect Answer: (c) TungstenSolution:Tungsten is widely used in tool steels because the tool will maintain its hardness even at red heat. The melting point of tungsten is very high (3700ºC) hence it is used as filament of bulbs.12. Complete determination of resultant force of non-concurrent forces is [MPSC AE PRE.-08.07.2018 ](1) determination of magnitude. (2) determination of direction. (3) determination of point on its line of action(a) Only 1 and 2(b) Only 1 and 3(c) 1,2 and 3(d) None of theseCorrect Answer: (c) 1,2 and 3Solution:Complete determination of resultant force of non-concurrent forces is included– 1. Determination of magnitude 2. Determination of direction and 3. Point on its line of action.13. The maximum stress, developed in a cantilever of 1cm square cross-section and 1m long having a load of 10 kg at the free end, will be [BPSC AE (GEN. ENGG.)-1995 ](a) 1 kg/cm(b) 10 kg cm(c) 10 kg/cm²(d) 6000 kg/cm²Correct Answer: (d) 6000 kg/cm²Solution: 14. A hollow shaft of the same cross-sectional area as that of solid shaft can resist. [BPSC AE (GEN. ENGG.)-1995 ](a) less torque(b) equal torque(c) twice the amount of torque(d) none of theseCorrect Answer: (d) none of theseSolution: 15. The maximum shear stress theory of failure states that the stress at which failure occurs in simple tension is equal to [BPSC AE (GEN. ENGG.)-1995 ](a) maximum principal stress(b) the difference of corresponding principal stresses(c) the sum of the corresponding principal stresses(d) none of the aboveCorrect Answer: (b) the difference of corresponding principal stressesSolution:Maximum shear-stress theory or tresca yield criterion–The maximum shear stress theory states that yielding of the material begins when the absolute maximum shear stress in the material reaches the shear stress that causes the same material to yield when it is subjected only to axial tension. 16. _____ is defined as the ratio of change in length to original length. [NHPC JE (ME) 06.04.2022 (Shift-II) ](a) Tensile strain(b) Volumetric stress(c) Compressive stress(d) Tensile stressCorrect Answer: (a) Tensile strainSolution:Tensile strain is defined as the ratio of change in length to original length. 17. Beams of uniform strength vary in section such that:- [UP JAL Nigam JE (E &M) 16.12.2016 ](a) Bending moment remains constant(b) Deflection remains constant(c) Maximum bending stress remains constant(c) Maximum bending stress remains constantCorrect Answer: (c) Maximum bending stress remains constantSolution:Beams of uniform strength–A beam in which strength vary such that maximum bending stress remains constant throughout the span. Beam of uniform strength can be obtained by– 1. Varying the depth of beam keeping width constant. 18. The maximum eccentricity in a rectangular foundation of width 'b' for no tension in masonry should not exceed [MPSC AE PRE -09.07.2017](a) b/2(b) b/3(c) b/4(d) b/6Correct Answer: (d) b/6Solution:Maximum eccentricity in various types of foundations for no tension in masonry– 19. The ratio of force and area is known as __________. [IREL Diploma Trainee-11.09.2022 ](a) Strain(b) Stress(c) Specific weight(d) Specific volumeCorrect Answer: (b) StressSolution:Stress–It is the ratio of internal resisting force to cross-sectional area. 20. The ability of material to be drawn into wires is called: [IREL Diploma Trainee-11.09.2022 ](a) Ductility(b) Hardness(c) Toughness(d) MalleabilityCorrect Answer: (a) DuctilitySolution:Ductility–The ability of material to be drawn into wires is called as ductility. It is the property of material that allow large deformation without failure. Hardness– Resistance against surface deformation. Toughness– Resistance against impact/shock loading. Malleability–Property that allow to convert into thin sheet without any cracks or failure.Submit Quiz« Previous12345Next »