Surveying (Part-2) (General Engineering) (SSC JE)

Total Questions: 50

21. Which of the following is not used in total station equipment? [BPSC AE (GEN. ENGG.) 14.10.2022 ]

Correct Answer: (d) Alidade
Solution:

Total station–
• Total station is a distance measurement used at civil construction sites.
• A total station is an electronic/optical instrument used in modern surveying.
• Total station is an electronic theodolite integrated with an electronic distance meter (EDM), plus internal data storage.
• The measurement results can be recorded into the internal memory and transferred to a personal computer interface.
• It is designed for measuring of slant distance, horizontal distance and vertical angles and elevations in topographic and geodetic work.

22. The instrument used to compute the area of irregular region on a map or photograph is [BPSC AE (GEN. ENGG.) 11.11.2022 ]

Correct Answer: (d) planimeter
Solution:

Planimeter– It is a mechanical integrator used for the measurement of area of figures, plotted to a scale. There are two types of planimeters the Amsler polar planimeter and the rolling planimeter.

23. Theodolite is [BPSC AE (GEN. ENGG.) 11.11.2022 ]

Correct Answer: (a) a precise optical instrument for measuring the angle between designated visible points in the horizontal and vertical planes
Solution:

Theodolite traversing
• The theodolite is the most intricate and accurate instrument used for measuring horizontal and vertical angle.
• A theodolite is called a transit theodolite, when its telescope can be transited revolved through a complete revolution about its horizontal axis in a vertical plane.
• In a non-transist theodolite, the telescope cannot be transited.
• The theodolite are also classified as vernier theodolite and the micrometer theodolite.
• Vernier theodolite the least count of vernier theodolite is 20 sec (20").
• If the operation of revolving the telescope through 180º in a vertical plane about the horizontal axis. This operation is also called as plunging or reversing.

24. Dumpy level [BPSC AE (GEN. ENGG.) 11.11.2022 ]

Correct Answer: (c) has a firmly secured telescope which can rotate only in horizontal plane
Solution:

Dumpy level–To locate the points on the same horizontal plane, dumpy level is employed. It is also called the automatic level or builders level.

Dumpy level help the surveyor to find out elevations of different point of the same elevation. It is not possible to rotate the dumpy level in the vertical axis as the telescope is fixed to its supports.

• The instruments is provided with a clamp and tangent screw to set the telescope in any direction.
• The sensitivity of the level tube is generally 20" per 2 mm.

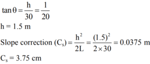
25. The slope correction for a length of 30m along a gradient of 1 in 20 [BPSC AE (GEN. ENGG.)-2006 ]

Correct Answer: (a) 3.75 cm
Solution:

26. Greater accuracy in linear measurements, is obtained by, [BPSC AE (GEN. ENGG.)-2006 ]

Correct Answer: (c) direct taping
Solution:

• Greater accuracy in linear measurements can be obtained by direct taping. However, the accuracy of this method depends on the skill of the person taking the measurement and the condition of the tape measure.

27. The angles between two plane mirrors of an optical square, is [BPSC AE (GEN. ENGG.)-2006 / RRB JE 28.08.2015 (Shift-III) ]

Correct Answer: (c) 45°
Solution:

Optical square–It is used for setting out right angles.
• There are two mirrors placed vertically above the base at 45º to each other which are used in off setting.

28. The construction of optical squares is based, on the principle of [BPSC AE (GEN. ENGG.)-2006 ]

Correct Answer: (c) double reflection
Solution:

Optical square–An optical square is used for setting out right angles.
• The construction of optical squares is based on the principle of double reflection

29. A well condition triangles does not have any angle less than [BPSC AE (GEN. ENGG.)-2006 / RRB JE 29.08.2015 (Shift-II) ]

Correct Answer: (b) 30⁰
Solution:

Well conditioned triangle–An equilateral triangle or a triangle approximating to it, having none of its angles less than 30º or greater than 120º is called "well conditioned" triangle.

30. If whole circle bearing of a line is 120⁰ , its reduced bearing is [RRB S.S.E (Bilaspur/Secunderabad) 21.12.2014 / BPSC AE (GEN. ENGG.)-2006 ]

Correct Answer: (b) S 60° E
Solution: