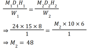
Time and Work (Railway Maths) (Part – IV)Total Questions: 5011. A and B can complete a task in 60 days and 40 days respectively. If C who can complete the same task alone in 30 days, joins A & B working together after 3 days, then the number of days taken to complete the task will be. [RRB NTPC 12/02/2021 (Morning) ](a)(b)(c)(d)Correct Answer: (a)Solution:12. Suresh can finish a job in 10 days and Ramesh can finish it in 12 days. Calculate the fraction of job remaining after they work together for 4 days. [RRB NTPC 15/02/2021 (Evening) ](a) 8/15(b) 7/15(c) 4/15(d) 1/10Correct Answer: (c) 4/15Solution:13. The work done by a woman in 6 hr is equal to the work done by a man in 4 hr and by a boy in 8 hr. Working 8 hr per day, if 8 women can complete the work in 10 days, then in how many days can 10 women, 10 men and 10 boys together finish the work working 8 hr per day ? [RRB NTPC 16/02/2021 (Morning) ](a)(b)(c)(d)Correct Answer: (b)Solution:14. A takes thrice the time taken by B and five times the time taken by C to complete a work. Working together, they can complete the work in 5 days. Find the number of days taken by A to complete the work alone. [RRB NTPC 16/02/2021 (Morning) ](a) 30(b) 20(c) 40(d) 45Correct Answer: (d) 45Solution:15. A Alone can do work in 39 days. Whereas B alone can do it in 52 days. The duo start working together, but A leaves 3 days before the task gets over. For how many days did the two work together ? [RRB NTPC 17/02/2021 (Evening) ](a)(b)(c)(d)Correct Answer: (b)Solution:16. A alone can do a work in 14 days, whereas B alone can do it in 21 days. B worked alone on day 1 while A works alone on day 2, and the process continues, till the work is completed. How many days in all does it take for the work to be completed? [RRB NTPC 17/02/2021 (Evening)](a) 17(b) 20(c) 16(d) 18Correct Answer: (a) 17Solution:17. If 24 men can complete a piece of work in 15 days working 8 hours per day, then how many men will be required to complete the same work in 10 days working 6 hours per day? [RRB NTPC 22/02/2021 (Morning)](a) 32(b) 60(c) 30(d) 48Correct Answer: (d) 48Solution:18. A and B can do a work in 4 hours. B and C can complete the same work in 6 hours, while A and C take 8 hours to complete the work. C can complete the work independently in: [RRB NTPC 23/02/2021 (Morning)](a) 12 hours(b) 48 hours(c) 36 hours(d) 24 hoursCorrect Answer: (b) 48 hoursSolution:19. A alone can finish a job in 12 days, while B alone can finish it in 15 days. With the help of C, they can finish the same job in 5 days. If they are paid Rs.2,880 for the whole job, what will be the share of C? [RRB NTPC 27/02/2021 (Morning)](a) ₹760(b) ₹740(c) ₹700(d) ₹720Correct Answer: (d) ₹720Solution:20. A and B together finish a task in 12 days. B and C together can finish it in 18 days. If A is three times more efficient than C, then in what time B alone would finish the same task? [RRB NTPC 27/02/2021 (Evening)](a) 22 days(b) 25 days(c) 24 days(d) 20 daysCorrect Answer: (c) 24 daysSolution:Submit Quiz« Previous12345Next »