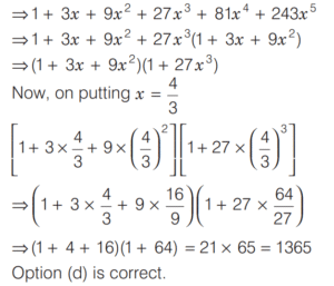
TRIGONOMETRIC RATIOS AND TRIGONOMETRIC IDENTITIES (CDS)Total Questions: 1081. If cos² x + cos x = 1 then what is the value of sin¹² x + 3sin¹⁰ x + 3sin⁸ x + sin⁶ x ? [2019 (II) Evening Shift](a) 1(b) 2(c) 4(d) 8Correct Answer: (a) 1Solution:Given, cos² x + cos x = 12. Solve the following equation [2019 (II) Evening Shift](a) 941(b) 1000(c) 1220(d) 1365Correct Answer: (d) 1365Solution:Given, sinθ = 3/5 3. Solve the following equation [2019 (II) Evening Shift](a) 0(b) 1(c) 2(d) 4Correct Answer: (c) 2Solution:4. If tan x = 1 0 < x < 90° , then what is the value of 2sin cos x [2019 (I) Morning Shift](a) 1/2(b) 1(c) √3/2(d) √3Correct Answer: (b) 1Solution:Given, tan x = 1 0 < x < 90°5. What is the value of sin 46° cos 44° + cos 46° sin 44° ? [2019 (I) Morning Shift](a) sin 2°(b) 0(c) 1(d) 2Correct Answer: (c) 1Solution:Given, sin 46° cos 44° + cos 46° sin 44°6. Suppose 0 < θ < 90°, then for every θ, 4sin² θ + 1 is greater than or equal to [2019 (I) Morning Shift](a) 2(b) 4sinθ(c) 4cosθ(d) 4tanθCorrect Answer: (a) 2Solution:7. What is the value of tan 1° tan 2° tan 3° ... tan 89° ? [2019 (I) Morning Shift](a) 0(b) 1(c) 2(d) ∞Correct Answer: (b) 1Solution:Given, tan 1° tan 2° tan 3° ... tan 89°8. There are two parallel streets each directed North to South. A person in the first street travelling from South to North wishes to take the second street which is on his right side. At some place, he makes a 150° turn to the right and he travels for 15 min at the speed of 20 km/h. After that he takes a left turn of 60° and travels for 20 min at the speed of 30 km/h in order to meet the second street. What is the distance between the two streets? [2019 (I) Morning Shift](a) 7.5 km(b) 10.5 km(c) 12.5 km(d) 15 kmCorrect Answer: (c) 12.5 kmSolution:There are two parallel streets. 9. If 3tan θ = cot θ where 0 ≤ θ < π/2, then what is the value of θ? [2019 (I) Morning Shift](a) π/6(b) π/4(c) π/3(d) π/2Correct Answer: (a) π/6Solution:Given, 3tan θ = cot θ 0 ≤ θ < π/210. What is the value of sin² 25° + sin² 65° ? [2019 (I) Morning Shift](a) 0(b) 1(c) 2(d) 4Correct Answer: (b) 1Solution:Submit Quiz1234567891011Next »