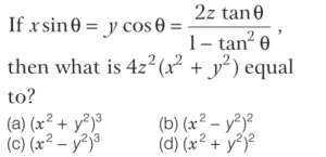
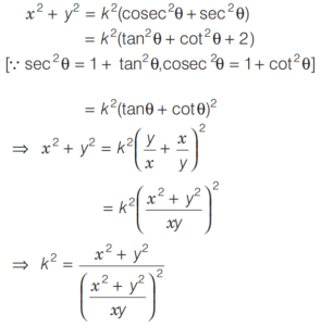
TRIGONOMETRIC RATIOS AND TRIGONOMETRIC IDENTITIES (CDS)Total Questions: 10831. If 0 < x < π/2, then (sinx + cosec x) is [2017 (II) Evening Shift](a) > 2(b) < 2(c) ≥ 2(d) ≤ 2Correct Answer: (a) > 2Solution:We have,32. Solve the following equation [2017 (II) Evening Shift](a)(b)(c)(d)Correct Answer: (a)Solution:33. Solve the following equation [2017 (II) Evening Shift](a) A = B(b) A > B > 0(c) A < B(d) B < A < 0Correct Answer: (a) A = BSolution:We have,34. If θ measured in radians is the angle between the hour and the minute hand of a clock when the time is 4 : 36 pm, then which one of the following is correct? [2017 (II) Evening Shift](a)(b)(c)(d)Correct Answer: (b)Solution:We know that hour completes are rotation in 12 hours while hand completes are rotation in 60 minutes.35. Consider the following statements [2017 (II) Evening Shift](a) Zero(b) One(d) Three(c) TwoCorrect Answer: (c) TwoSolution:We have, 36. Solve the following equation [2017 (II) Evening Shift](a) equal to 1(b) less than 1(c) greater than 1 but less than 2(d) greater than 2Correct Answer: (b) less than 1Solution:We know that37. If D is the number of degrees and R is the number of radians in an angle θ, then which one of the following is correct? [2017 (I) Morning Shift](a) πD = 180R(b) πD = 90R(c) πR = 180D(d) πR = 90DCorrect Answer: (c) πR = 180DSolution:We know that,38. What is the minimum value of 9 Tan²θ + 4cot²θ ? [2017 (I) Morning Shift](a) 6(b) 9(c) 12(d) 13Correct Answer: (c) 12Solution:We know that, AM ≥ GM39. Solve the following equation [2017 (I) Morning Shift](a)(b)(c)(d)Correct Answer: (a)Solution: 40. If cos θ₁ + cos θ₂ + cos θ3 = 3 then 2 what is sin θ₁ + sin θ₂ + sin θ₃ equal to? [2017 (I) Morning Shift](a) 0(b) 1(c) 2(d) 3Correct Answer: (a) 0Solution:We have,Submit Quiz« Previous1234567891011Next »