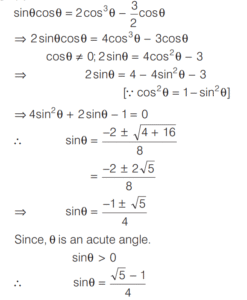
TRIGONOMETRIC RATIOS AND TRIGONOMETRIC IDENTITIES (CDS)Total Questions: 10861. Solve the following equation [2016 (I) Morning Shift]1.There are two values of θ satisfying the above equation. 2. θ = 60° is satisfied by the above equation.Select the correct answer using the codes given below.(a) Only 1(b) Only 2(c) Both 1 and 2(d) Neither 1 nor 2Correct Answer: (b) Only 2Solution:62. Which of the following is correct in respect of the equation 3 - tan²θ = α (1 - 3tan² θ)? (given that α is a real number.) [2016 (I) Morning Shift](a)(b)(c)(d)Correct Answer: (b)Solution:63. Solve the following equation [2016 (I) Morning Shift](a) − 1(b) 0(c) 1(d) 2Correct Answer: (c) 1Solution:64. Consider the following statements [2015 (II) Evening Shift](a) Only 1(b) Only 2(c) Both 1 and 2(d) Neither 1 nor 2Correct Answer: (a) Only 1Solution:65. If x = a cos θ and y = b cot θ, then (ax⁻¹- by⁻¹) (ax⁻¹ + by⁻¹) is equal to [2015 (II) Evening Shift](a) 0(b) 1(c) tan²θ(d) sin²θCorrect Answer: (c) tan²θSolution:66. Solve the following equation [2015 (II) Evening Shift](a)(b)(c)(d)Correct Answer: (b)Solution:We have,67. If tan(x + 40)° tan(x + 20)° tan(3x)° tan(70 - x)° tan(50 - x)° = 1, then the value of x is [2015 (II) Evening Shift](a) 30(b) 20(c) 15(d) 10Correct Answer: (c) 15Solution:We have, 68. If θ is an acute angle and sin θ cos θ = 2cos³ θ - 1.5cos θ, then what is sin θ equal to? [2015 (II) Evening Shift](a)(b)(c)(d)Correct Answer: (a)Solution:We have,69. Consider the following statements [2015 (II) Evening Shift]1. sin 66° is less than cos 66° 2. sin 26°is less than cos 26°Which of the above statement(s) is/are correct?(a) Only 1(b) Only 2(c) Both 1 and 2(d) Neither 1 nor 2Correct Answer: (b) Only 2Solution:70. Solve the following equation [2015 (II) Evening Shift](a) not possible(b) possible only if a = b(c) possible, if a > b(d) possible, if a < bCorrect Answer: (a) not possibleSolution:We have,Submit Quiz« Previous1234567891011Next »