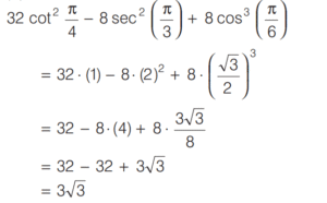
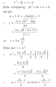
TRIGONOMETRIC RATIOS AND TRIGONOMETRIC IDENTITIES (CDS)Total Questions: 10871. If tan θ + sec θ = 2, then tan θ is equal to [2015 (II) Evening Shift](a) 3/4(b) 5/4(c) 3/2(d) 5/2Correct Answer: (a) 3/4Solution:We have, tan θ + sec θ = 272. The minimum value of cos² x + cos² y - cos² z is [2015 (II) Evening Shift](a) − 1(b) 0(c) 2(d) 2Correct Answer: (a) − 1Solution:73. The value of [2015 (II) Evening Shift](a) √3(b) 2√3(c) 3(d) 3√3Correct Answer: (d) 3√3Solution:We have,74. If tan(A + B) = √3 and tan A = 1 then tan(A - B) is equal to [2015 (I) Morning Shift](a) 0(b) 1(c) 1√3(d) √2Correct Answer: (c) 1√3Solution:Given, tan(A + B) = √375. If cos A = tan B, cos B = tan C and cos C = tan A, then sin A is equal to [2015 (I) Morning Shift](a)(b)(c)(d)Correct Answer: (b)Solution:Let sin A = x ...(i) 76. Solve the following equation [2015 (I) Morning Shift](a)(b)(c)(d)Correct Answer: (a)Solution:77. If tan A + cot A = 4, then tan⁴ A + cot⁴ A is equal to [2015 (I) Morning Shift](a) 110(b) 191(c) 80(d) 194Correct Answer: (d) 194Solution:Given, tan A + cot A = 478. Solve the following equation [2015 (I) Morning Shift](a) Only I(b) Only II(c) Both I and II(d) Neither I nor IICorrect Answer: (c) Both I and IISolution:79. Consider the following identity [2015 (I) Morning Shift](a) Only I(b) Only II(c) Both I and II(d) Neither I nor IICorrect Answer: (a) Only ISolution: 80. ABC is a right angled triangle at B and AB : BC = 3 : 4. What is sin A + sin B + sin C equal to? [2015 (I) Morning Shift](a) 2(b) 11/5(c) 12/5(d) 3Correct Answer: (c) 12/5Solution:In right angled ∆ABC, Submit Quiz« Previous1234567891011Next »