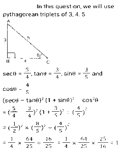
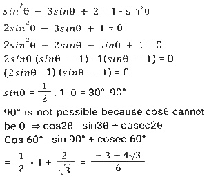
Trigonometry (Part-10)Total Questions: 5041. Simplify [SSC CGL 12/04/2022 (Aftrernoon)](a) cos²θ - 1(b) sec²θ + 1(c) cot²θ - 1(d) sin²θ - 1Correct Answer: (c) cot²θ - 1Solution:In this questions, we will put the value of pythagoras triplet.42. The expression (cos⁶θ + sin⁶θ - 1) (tan²θ + cot²θ + 2) + 3 is equal to: [SSC CGL 13/04/2022 (Afternoon)](a) 0(b) 1(c) 2(d) -1Correct Answer: (a) 0Solution:43. If sin²θ - cos²θ - 3sinθ + 2 = 0, 0º < θ < 90º, what is the value of 1 + secθ + tanθ ? [SSC CGL 13/04/2022 (Evening)](a) -1 +√3(b) -1 -√3(c) 1 + √3(d) 1 - √3Correct Answer: (c) 1 + √3Solution:44. (secθ - tanθ)² (1 + sinθ)² ÷ cosθ² = ? [SSC CGL 13/04/2022 (Evening)](a) cos²θ(b) 1(c) cot²θ(d) -1Correct Answer: (b) 1Solution:45. If 2 sin²θ + 3 cosθ = 3, 0º < θ < 90º, then the value of (sec²θ + cot²θ) is: [SSC CGL 18/04/2022 (Evening)](a)(b)(c)(d)Correct Answer: (c)Solution:46. Simplify the following expression: [SSC CGL 19/04/2022 (Evening)](a) 1 + Cos A(b) (1 + sin A) cosA(c) 1 + sinA(d) Cos ACorrect Answer: (d) Cos ASolution:47. Simplify the following expression: [SSC CGL 20/04/2022 (Morning)]cosec⁴A (1 - cos⁴A) - 2cot²A - 1(a) sin²A(b) cosec²A(c) 1(d) 0Correct Answer: (d) 0Solution:48. If 6tanA (tanA + 1) = 5 - tanA, Given that 0 < A < π/2 what is the value of (sinA + cosA) ? [SSC CGL 20/04/2022 (Morning)](a)(b)(c)(d)Correct Answer: (d)Solution:49. Simplify [SSC CGL 20/04/2022 (Evening)](a) cosec²θ(b) sin²θ(c) cos²θ(d) sec²θCorrect Answer: (a) cosec²θSolution:50. Simplify [SSC CGL 21/04/2022 (Afternoon)](a)(b)(c)(b)Correct Answer: (b)Solution:Submit Quiz« Previous12345