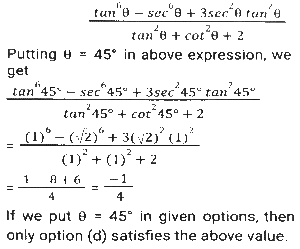
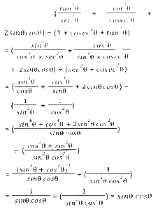
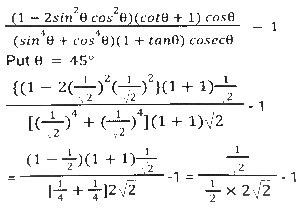
Trigonometry (Part-11)Total Questions: 571. Simplify [SSC CGL Tier II (29/01/2022)](a) tanθ(b) secθ(c) cosecθ(d) cotθCorrect Answer: (d) cotθ2. Simplify [SSC CGL Tier II (29/01/2022)](a) secθ(b) sinθ(c) cosθ(d) cosecθCorrect Answer: (d) cosecθSolution:3. Simplify [SSC CGL Tier II (29/01/2022)](a) cosθ(b) 1 - cosθ(c) sinθ(d) 1 - sinθCorrect Answer: (d) 1 - sinθSolution:4. Simplify [SSC CGL Tier II (29/01/2022) ](a) cosecθsecθ(b) cosecθ(c) sinθcosθ(d) secθCorrect Answer: (c) sinθcosθSolution:5. Simplify [SSC CGL Tier II (03/03/2022)](a) sec²θ cosec²θ(b) -sec²θ cosec²θ(c) cos²θ sin²θ(d) -cos²θ sin²θCorrect Answer: (d) -cos²θ sin²θSolution:6. Simplify [SSC CGL Tier II (03/02/2022) ](a) 1/2 sinθ(b) 2 sinθ(c) secθ(d) 2 cosecθCorrect Answer: (b) 2 sinθSolution:7. Simplify [SSC CGL Tier II (03/02/2022)](a) sinθ(b) 2 cosθ(c) 2 tanθ(d) 2 tanθCorrect Answer: (d) 2 tanθSolution:8. Simplify [SSC CGL Tier II (03/02/2022)](a)(b)(c)(d)Correct Answer: (d)Solution:9. Simplify [SSC CGL Tier II (03/02/2022)](a) cos²θ(b) -sin²θ(c) sec²θ(d) -sec²θCorrect Answer: (b) -sin²θSolution:10. Solve it- [SSC MTS 12/10/2022 (Afternoon)](a) cos²x(b) 0.5(c) 1(d) cos²x sin²xCorrect Answer: (b) 0.5Solution:Submit Quiz123456Next »