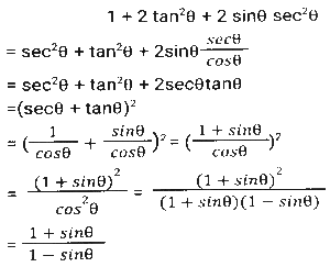
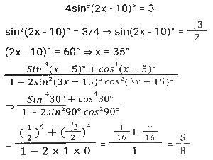
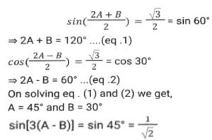
Trigonometry (Part-11)Total Questions: 5711. Simplify [SSC CGL 13/08/2021 (Morning)](a) 2 sec²θ(b) sec²θ + 1(c) sec²θ(d) 1 - tan²θCorrect Answer: (b) sec²θ + 1Solution:12. Simplify [SSC CGL 13/08/2021 (Afternoon)](a) 7/4(b) 5/4(c) 9/4(d) 3/4Correct Answer: (a) 7/4Solution:13. Simplify [SSC CGL 13/08/2021 (Evening)](a) -3(b) 0(c) -2(d) 2Correct Answer: (a) -3Solution:14. 1 + 2 tan²θ + 2 sinθ sec²θ, 0º < θ < 90º, is equal to: [SSC CGL 16/08/2021 (Morning)](a)(b)(c)(d)Correct Answer: (d)Solution:15. Simplify [SSC CGL 16/08/2021 (Evening)](a) 1(b) 1/√2(c) 1/2(d) √3/2Correct Answer: (b) 1/√2Solution:16. Smplify [SSC CGL 17/08/2021 (Morning)](a) cotθ(b) cosec²θ(c) sec²θ(d) tanθCorrect Answer: (c) sec²θSolution:17. Simplify [SSC CGL 17/08/2021 (Afternoon)](a) -secθ(b) tanθ(c) secθ(d) -tanθCorrect Answer: (d) -tanθSolution:≤18. If 4 sin² (2x - 10)º = 3, 0 ≤ (2x - 10) ≤ 90, then find the value of- [SSC CGL 17/08/2021 (Evening)](a) 1(b) 5/8(c) -5/8(d) -1Correct Answer: (b) 5/8Solution:19. Find the value of- [SSC CGL 17/08/2021 (Evening)](a) 1/√2(b) 1(c) 2(d) √2Correct Answer: (d) √2Solution:20. Simplify [SSC CGL 18/08/2021 (Afternoon)](a) -(2/7)(b) 18/7(c) 2/7(d) -(18/7)Correct Answer: (d) -(18/7)Solution:Submit Quiz« Previous123456Next »