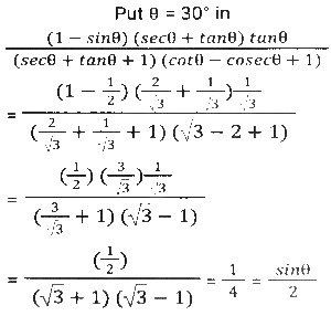
Trigonometry (Part-11)Total Questions: 5731. If cotθ = √2 + 1, then cosecθ secθ = ? [SSC CHSL 13/04/2021 (Morning)](a)(b)(c)(d)Correct Answer: (d)Solution:32. Simplify [SSC CHSL 13/04/2021 (Afternoon)](a) sinθ(b) sinθ/2(c) cosθ(d) cosθ/2Correct Answer: (b) sinθ/2Solution:33. Simplify [SSC CHSL 13/04/2021 (Evening)](a) √3/2(b) 1/√2(c) 1/4(d) 1/2Correct Answer: (d) 1/2Solution:34. If Y = tan35º, then the value of (2 tan55º +cot55º) is: [SSC CHSL 15/04/2021 (Evening)](a)(b)(c)(d)Correct Answer: (a)Solution:35. If tanθ + cotθ = 4, then the ratio of 3(tan²θ + cot²θ) to (2cosec²θ sec²θ - 4) will be: [SSC CHSL 15/04/2021 (Evening)](a) 4:3(b) 3:4(c) 5:4(d) 3:2Correct Answer: (d) 3:2Solution:36. If 3(sec²θ + tan²θ) = 5, 0⁰ < θ < 90⁰, then the value of cosecθ is: [SSC CHSL 16/04/2021 (Afternoon)](a)(b)(c)(d)Correct Answer: (c)Solution:37. Simplify [SSC CHSL 16/04/2021 (Afternoon)](a) -1(b) -3(c) 3(d) 2Correct Answer: (c) 3Solution:38. Solve it- [SSC CHSL 19/04/2021 (Afternoon)](a) Sec²θ(b) Sin²θ(c) Cos²θ(d) Cosec²θCorrect Answer: (a) Sec²θSolution:39. If sinθ (2sinθ + 3) = 2, 0º < θ < 90º, then what is the value of (sec²θ + cot²θ - cos²θ) ? [SSC CHSL 19/04/2021 (Morning)](a) 13/3(b) 31/12(c) 7/2(d) 43/12Correct Answer: (d) 43/12Solution:40. Simplify [SSC CHSL 19/04/2021 (Afternoon)](a) -(b/a)(b) -(a/b)(c) a/b(d) b/aCorrect Answer: (b) -(a/b)Solution:Submit Quiz« Previous123456Next »