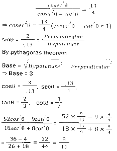
Trigonometry (Part-11)Total Questions: 5741. Simplify [SSC CHSL 19/04/2021 (Afternoon)](a) -(1/4)(b) -(1/3)(c) 1/3(d) 1(2/3)Correct Answer: (c) 1/3Solution:42. 2cos²θ = 3 (1 - sinθ), 0º < θ < 90º, then what is the value of (tan2θ + cosec3θ - sec2θ) ? [SSC CHSL 04/08/2021 (Evening)](a)(b)(c)(d)Correct Answer: (b)Solution:43. Find the value of θ, if sec²θ + (1 - √3) tanθ - (1 + √3) = 0, where θ is an acute angle. [SSC CHSL 05/08/2021 (Evening)](a) 60º(b) 30º(c) 45º(d) 15ºCorrect Answer: (a) 60ºSolution:44. If cosec²θ (cosθ - 1) (1 + cosθ) = k, then what is the value of k ? [SSC CHSL 06/08/2021 (Morning)](a) 1(b) -1(c) 1/2(d) 0Correct Answer: (b) -1Solution:45. Simplify [SSC CHSL 09/08/2021 (Morning)](a) sinθ(b) cosecθ(c) cosθ(d) secθCorrect Answer: (a) sinθSolution:46. If cos²θ - sin²θ - 3cosθ + 2 = 0, 0º < θ < 90º, then what will be the value of secθ - cosθ ? [SSC CHSL 09/08/2021 (Morning)](a) 4/3(b) 1/2(c) 3/2(d) 2/3Correct Answer: (c) 3/2Solution:47. Simplify [SSC CHSL 09/08/2021 (Afternoon)](a) 4/11(b) 8/11(c) 8/13(d) 5/11Correct Answer: (b) 8/11Solution:48. Evaluate the following expression. [SSC CHSL 10/08/2021 (Morning)](a) -1(b) 1(c) -2(d) 2Correct Answer: (a) -1Solution:49. For θ: 0º < θ < 90º, 3 secθ + 4cosθ = 4√3, find the value of (1 - sinθ + cosθ) [SSC CHSL 10/08/2021 (Morning)](a)(b)(c)(d)Correct Answer: (b)Solution:50. Simplify [SSC CHSL 10/08/2021 (Afternoon)](a) 7(b) 2(c) 3(d) 5Correct Answer: (d) 5Solution:Submit Quiz« Previous123456Next »