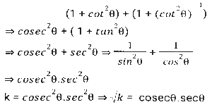
Trigonometry (Part-11)Total Questions: 5751. If (1 + cot²θ) + (1 + (cot²θ)⁻¹) is equal to k, then √k = ? [SSC CHSL 10/08/2021 (Evening)](a) sinθ secθ(b) cosecθ cosθ(c) cosecθ secθ(d) sinθ cosθCorrect Answer: (c) cosecθ secθSolution:52. Simplify [SSC CHSL 11/08/2021 (Morning)](a) secθ cosecθ(b) secθ sinθ(c) sinθ cosθ(d) cosθ cosecθCorrect Answer: (c) sinθ cosθSolution:53. Simplify [SSC CHSL 11/08/2021 (Afternoon)](a) 3(b) 6(c) 4(d) 8Correct Answer: (c) 4Solution:54. If cot²θ + cot⁴θ = 2, then the value of 2 sin⁴θ + sin²θ is: [SSC CHSL 11/08/2021 (Evening)](a) 3(b) 5(c) 1(d) 2Correct Answer: (c) 1Solution:55. If sinα + cosecα = tan π/3, then the value of (sin³α + cosec³α) is equal to: [SSC CHSL 11/08/2021 (Evening)](a) 1/2(b) 1(c) 0(d) 3/2Correct Answer: (c) 0Solution:56. Solve it- [SSC CPO 24/11/2020 (Evening)](a) 3(b) 1/3(c) -3(d) -(1/3)Correct Answer: (c) -3Solution:57. If 4(cosec²57 - tan²33) - cos90 + y × tan²66 × tan²24 = y/2 then the value of y is: [SSC CPO 25/11/2020 (Morning)](a) 4(b) 8(c) -4(d) -8Correct Answer: (d) -8Solution:Submit Quiz« Previous123456