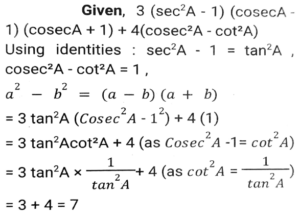
Trigonometry (Part-2)Total Questions: 5031. If secθ - tanθ = P, then cosecθ = ? [SSC CGL 04/06/2019 (Evening)](a)(b)(c)(d)Correct Answer: (c)Solution:32. If 0⁰ < θ < 90⁰ and cos²θ = 3 (cot²θ - cos²θ) then the value of (1/2 secθ + sinθ)⁻¹ is: [SSC CGL 04/06/2019 (Afternoon)](a) √3 + 2(b) 2(2 - √3)(c) 2(√3 - 1)(d) √3 + 1Correct Answer: (b) 2(2 - √3)Solution:33. Solve it- [SSC CGL 04/06/2019 (Afternoon)](a) cosec²θ(b) sec²θ(c) cot²θ(d) 2tan²θCorrect Answer: (b) sec²θSolution:34. (cosecA - sinA)² + (secA - cosA)² - (cotA - tanA)² is equal to: [SSC CPO 16/03/2019 (Evening)](a) 2(b) 0(c) 1(d) -1Correct Answer: (c) 1Solution:35. Find the value of- [SSC CPO 15/03/2019 (Evening)](a) cosec A(b) cos A(c) sec A(d) sin ACorrect Answer: (c) sec ASolution:36. Find the value of (sin⁶ A + cos⁶ A + 3sin²A. cos²A) - (sin⁴A - cos⁴A + 1) cosec²A. [SSC CHSL Tier II (18/11/2024)](a) 3(b) -3(c) 0(d) -1Correct Answer: (d) -1Solution:37. Find the value of 3 (sec²A - 1) (cosecA - 1) (cosecA + 1) + 4(cosec²A - cot²A). [SSC CHSL Tier II (18/11/2024)](a) 12(b) 3(c) 10(d) 7Correct Answer: (d) 7Solution:38. The value of sin²30⁰ - sin²40⁰ + sin²45⁰ - sin²55⁰ - sin²35⁰ + sin²45⁰ - sin²50⁰ + sin²60⁰ is : [SSC CGL 09/09/2024 (1st Shift)](a) 1(b) 2(c) 4(d) 0Correct Answer: (d) 0Solution:39. The value of cos²29⁰ + cos²61⁰ is : [SSC CGL 09/09/2024 (1st Shift)](a) √3/2(b) 2(c) 1(d) 0Correct Answer: (c) 1Solution:40. If cosec θ = 5/3, then evaluate (sec² θ -1) × cot² θ × (1+ cot² θ) [SSC CGL 09/09/2024 (1st Shift)](a) 25/16(b) 9/16(c) 25/9(d) 4/5Correct Answer: (c) 25/9Solution:Submit Quiz« Previous12345Next »