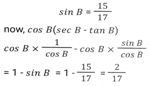
Trigonometry (Part-3)Total Questions: 5011. If tan4θ. tan6θ = 1, where 6θ is an acute angle, then find the value of Cot5θ. [SSC CGL 12/09/2024 (3rd Shift)](a) √3(b) -√3(c) -1(d) 1Correct Answer: (d) 1Solution:12. Simplify [SSC CGL 12/09/2024 (3rd Shift)](a) 1(b) 0(c) 13(d) -13Correct Answer: (c) 13Solution:13. If p(√3 + cot 30ᵒ) = tan³60ᵒ - 2sin60ᵒ, then the value of p is: [SSC CGL 13/09/2024 (1st Shift)](a) -1(b) 2√3(c) 1(d) √3Correct Answer: (c) 1Solution:14. Simplify [SSC CGL 13/09/2024 (1st Shift)](a) √3(b) √6(c) √2(d) √5Correct Answer: (a) √3Solution:15. If sin31ᵒ = ∝, then the value of cot 59ᵒ is: [SSC CGL 13/09/2024 (1st Shift)](a)(b)(c)(d)Correct Answer: (b)Solution:16. Simplify [SSC CGL 13/09/2024 (2nd Shift)](a)(b)(c)(d)Correct Answer: (b)Solution:17. Simplify [SSC CGL 13/09/2024 (2nd Shift)](a)(b)(c)(d)Correct Answer: (a)Solution:18. If sinB = 15/17, what is value of cosB (secB - tanB) ? Given that 0 < B < π/2 [SSC CGL 13/09/2024 (2nd Shift)](a) 1/16(b) 2/15(c) 8/15(d) 2/17Correct Answer: (d) 2/17Solution:19. Simplify [SSC CGL 13/09/2024 (3rd Shift)](a) 4(b) 3(c) 1(d) 2Correct Answer: (b) 3Solution:20. In a right angles Δ ABC, ∠B = 90ᵒ, if tanA = 1, then 4 sinA cosA = ______ . [SSC CGL 17/09/2024 (1st Shift)](a) 1(b) 2(c) 1/2(d) 4Correct Answer: (b) 2Solution:Submit Quiz« Previous12345Next »