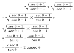
Trigonometry (Part-3)Total Questions: 5031. Find the value of- [SSC CGL 18/09/2024 (2nd Shift)](a) cos35ᵒ(b) 1(c) sec55ᵒ(d) 0Correct Answer: (b) 1Solution:32. Solve it- [SSC CGL 18/09/2024 (2nd Shift)](a) sinA(b) cosA(c) sinA + cosA(d) cosecACorrect Answer: (d) cosecASolution:33. Simplify [SSC CGL 18/09/2024 (2nd Shift)](a) 2/5(b) 3/5(c) 1/5(d) 4/5Correct Answer: (b) 3/5Solution:34. The given expression is equivalent to: [SSC CGL 18/09/2024 (3rd Shift)](a) 2 sinθ(b) 2 cosecθ(c) 2 tanθ(d) 2 tanθ secθCorrect Answer: (b) 2 cosecθSolution:35. What is the value of- [SSC CGL 18/09/2024 (3rd Shift)](a)(b)(c)(d)Correct Answer: (a)Solution:36. The value of the expression sinx + cosecx = 2, then the value of sin⁷ x + cosec⁷x is: [SSC CGL 19/09/2024 (1st Shift)](a) 0(b) 1(c) 2(d) 4Correct Answer: (c) 2Solution:37. If sinA + cosA = √3, then find the value of tanA + cotA + 2sinAcosA. [SSC CGL 19/09/2024 (1st Shift)](a) 6(d) 3(b) 2(c) 1Correct Answer: (d) 3Solution:38. If 3sin²θ + 5cos²θ = 4 and θ is an acute angle, then the value of tanθ is: [SSC CGL 19/09/2024 (1st Shift)](a) 1/√2(b) 1√3(c) 1/2(d) 1Correct Answer: (d) 1Solution:39. The maximum value of (2 sinθ + 3 cosθ) is: [SSC CGL 19/09/2024 (2nd Shift)](a) √17(b) √11(c) 9(d) √13Correct Answer: (d) √13Solution:40. Simplify [SSC CGL 19/09/2024 (2nd Shift)](a) 1/2(b) sin32ᵒ(c) 1(d) √3Correct Answer: (c) 1Solution:Submit Quiz« Previous12345Next »