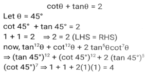
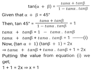
Trigonometry (Part-4)Total Questions: 5031. If θ is an acute angle and tanθ + cotθ = 2, then find the value of tan³θ + cot³θ + 6tan³θ cot²θ. [SSC CHSL 02/07/2024 (3rd Shift)](a) 8(b) 10(c) 12(d) 6Correct Answer: (a) 8Solution:32. Simpify [SSC CHSL 02/07/2024 (4th Shift)](a) 2(b) 3(c) 0(d) 4Correct Answer: (d) 4Solution:33. (cotθ + tanθ) (cosecθ - sinθ) (cosθ - secθ) = ______ . [SSC CHSL 03/07/2024 (1st Shift)](a) -1(b) 2(c) 0(d) 1Correct Answer: (a) -1Solution:34. Find the value of the following expression. [SSC CHSL 03/07/2024 (2nd Shift)]sin(30 + θ) - cos(60 - θ)(a) √3/2(b) 2sin (30 + θ)(c) 1(d) 0Correct Answer: (d) 0Solution:35. If α + β = 45° and (tan α+1) (tan β +1) = 2x, then x is: [SSC CHSL 03/07/2024 (4th Shift)](a) -1(b) 0(c) 1(d) 2Correct Answer: (c) 1Solution:36. What is the value of tan 570° ? [SSC CHSL 04/07/2024 (1st Shift)](a)(b)(c)(d)Correct Answer: (c)Solution:37. What is the value of- [SSC CHSL 04/07/2024 (2nd Shift)](a) sin²2α + tan²2α(b) sec²2α + cot²2α(c) cos²2α cot²2α(d) sec² 2α tan² 2αCorrect Answer: (d) sec² 2α tan² 2αSolution:38. If θ is an acute angle and cotθ + tanθ = 2 then find the value of tan¹²θ + cot¹²θ + 2tan⁵θcot⁷θ. [SSC CHSL 04/07/2024 (3rd Shift)](a) 2(b) 3(c) 4(d) 1Correct Answer: (c) 4Solution:39. If θ be acute angle and cos θ = 24/25, then the value of cot (90-θ) is equal to: [SSC CHSL 05/07/2024 (3rd Shift)](a) 6/25(b) 7/24(c) 7/25(d) 5/24Correct Answer: (b) 7/24Solution:40. Simplify [SSC CHSL 05/07/2024 (4th Shift)](a) -1(b) 0(c) 1(d) 2Correct Answer: (c) 1Solution:Submit Quiz« Previous12345Next »