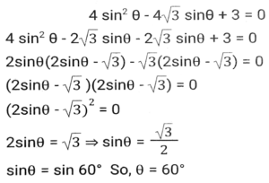
Trigonometry (Part-4)Total Questions: 5041. Simplify [SSC CHSL 08/07/2024 (1st Shift)](a)(b)(c)(d)Correct Answer: (d)Solution:42. If tan(t) = 3/7, t is an acute angle, then what is the value of cosec(t) ? [SSC CHSL 08/07/2024 (2nd Shift)](a) √58/3(b) √53/7(c) √58/7(d) √53/3Correct Answer: (a) √58/3Solution:43. If sin θ = 11/12, then what will be the value of (tanθ + secθ)? [SSC CHSL 08/07/2024 (3rd Shift)](a) 12/√23(b) 11/√23(c) √23(d) 23Correct Answer: (c) √23Solution:44. If cos⁴θ - sin⁴θ = 4/5, then find the value of sin4θ. [SSC CHSL 08/07/2024 (4th Shift)](a) 24/25(b) 16/25(c) 21/25(d) 18/25Correct Answer: (a) 24/25Solution:45. Simplify [SSC CHSL 09/07/2024 (1st Shift)](a)(b)(c)(d)Correct Answer: (b)Solution:46. If sinθ = 7/25, then cosθ and tanθ are respectively _______ . (Where θ is in the first quadrant) [SSC CHSL 09/07/2024 (3rd Shift)](a)(b)(c)(d)Correct Answer: (c)Solution:47. What is the maximum value of 7 cosA + 24 sinA + 32? [SSC CHSL 09/07/2024 (4th Shift)](a) 39(b) 32(c) 25(d) 57Correct Answer: (d) 57Solution:48. If tanA = √2 - 1 then find the value of sinAcosA + tanA. [SSC CHSL 10/07/2024 (1st Shift)](a)(b)(c)(d)Correct Answer: (d)Solution:49. If 4 sin²θ - 4√3 sinθ + 3 = 0, then find the value of θ. (0 < θ < 90ᵒ) [SSC CHSL 10/07/2024 (3rd Shift)](a) 45ᵒ(b) 30ᵒ(c) 60ᵒ(d) 75ᵒCorrect Answer: (c) 60ᵒSolution:50. Simplify [SSC CHSL 11/07/2024 (1st Shift)](a) tanθ(b) 2 sinθ(c) 2 cosθ(d) 1Correct Answer: (c) 2 cosθSolution:Submit Quiz« Previous12345