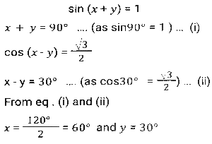
Trigonometry (Part-5)Total Questions: 5011. Find the value of- [SSC CPO 28/06/2024 (1st Shift)](a) tan²θ(b) cotθ(c) tanθ(d) cot²θCorrect Answer: (d) cot²θSolution:12. Solve it- [SSC CPO 28/06/2024 (1st Shift)](a) 77/144(b) 61/169(c) 87/169(d) 65/144Correct Answer: (d) 65/144Solution:13. If 4sin²θ = 3(1 + cosθ), 0º < θ < 90º, then what is the value of √15 tanθ + 4/√15 sinθ + 2secθ? [SSC CPO 28/06/2024 (2nd Shift)](a) 24(b) 4√15(c) 8√15(d) 8Correct Answer: (a) 24Solution:14. If tan θ + cot θ = 6, then the value of tan²θ + cot²θ is______ . [SSC CPO 28/06/2024 (2nd Shift)](a) 24(b) 34(c) 20(d) 22Correct Answer: (b) 34Solution:15. (1 - cos²A) sec²A is equal to: [SSC CPO 28/06/2024 (2nd Shift)](a) cos²A cot²A(b) tan²A(c) cot²A(d) cosec²ACorrect Answer: (b) tan²ASolution:16. If sin x + cos x = √2 sinx, then the value of sin x - cos x is: [SSC CPO 28/06/2024 (2nd Shift)](a) √2 sin x(b) 2 sin x(c) -√2 cos x(d) √2 cos xCorrect Answer: (d) √2 cos xSolution:17. Simplify [SSC CPO 28/06/2024 (3rd Shift)](a) 2(b) -1(c) -2(d) 1Correct Answer: (b) -1Solution:18. Simplify [SSC CPO 28/06/2024 (3rd Shift)](a) 1 - tanA secA(b) 1 - cosA cotA(c) 1 - sinA tanA(d) 1 - sinA cosACorrect Answer: (d) 1 - sinA cosASolution:19. If sin (x+y) = 1 and cos (x-y) = √3/2, find the value of 'y'. [SSC CPO 28/06/2024 (3rd Shift)](a) 90º(b) 60º(c) 30º(d) 20ºCorrect Answer: (c) 30ºSolution:20. Solve it- [SSC CPO 28/06/2024 (3rd Shift)](a) sin²θ(b) sec²θ(c) cosec²θ(d) cot²θCorrect Answer: (c) cosec²θSolution:Submit Quiz« Previous12345Next »