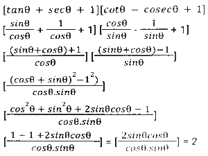
Trigonometry (Part-5)Total Questions: 5021. If sin⁴θ + cos⁴θ = 2sin²θ cos²θ, 0º < θ < 90º, then find the value of cotθ. [SSC CPO 29/06/2024 (1st Shift)](a) 1/2(b) 1/√2(c) 1/3(d) 1Correct Answer: (d) 1Solution:22. tan⁴A + tan²A is equal to: [SSC CPO 29/06/2024 (1st Shift)](a) sec²A - sec⁴A(b) -(sec²A + sec⁴A)(c) sec⁴A - sec²A(d) sec⁴A + sec²ACorrect Answer: (c) sec⁴A - sec²ASolution:23. Solve the following: [SSC CPO 29/06/2024 (1st Shift)](tanθ + secθ + 1) (cotθ - cosecθ + 1) =?(a) 2(b) 1(c) 0(d) -1Correct Answer: (a) 2Solution:24. The value of (cosecθ -sinθ) (secθ - cosθ) (tanθ + cotθ) is [SSC CPO 29/06/2024 (1st Shift)](a) -3(b) 3(c) secθ cosecθ(d) 1Correct Answer: (d) 1Solution:25. Find the value of the following expression. [SSC CPO 29/06/2024 (2nd Shift)](1 + tanθ + secθ) × (1 + cotθ - cosecθ)(a) 1(b) cosθ sinθ(c) 2(d) tanθCorrect Answer: (c) 2Solution:26. Simplify [SSC CPO 29/06/2024 (2nd Shift)](a) Not defined(b) 1(c) √3(d) 0Correct Answer: (a) Not definedSolution:27. If sin (x+y) = cos{3(x+y)}, then, the value of cot {2(x+y)} is______ . [SSC CPO 29/06/2024 (2nd Shift)](a) -1(b) 1(c) -2(d) 2Correct Answer: (b) 1Solution:28. Simplify [SSC CPO 29/06/2024 (2nd Shift)](a)(b)(c)(d)Correct Answer: (a)Solution:29. Solve it- [SSC CPO 29/06/2024 (3rd Shift)](a) 34(b) 20(c) 17(d) 19Correct Answer: (c) 17Solution:30. The value of sin²15º + sin²25º + sin²35º + sin²45º + sin²55º + sin²65º + sin²75º is: [SSC CPO 29/06/2024 (3rd Shift)](a) 4(b) 7(c) 7/2(d) 7/3Correct Answer: (c) 7/2Solution:Submit Quiz« Previous12345Next »